بۇ بىر چوڭ تېما، بۇ تېمىنى يوللىشىمدىكى مەقسەت فىزىكىلىق ئالەم، بىئولوگىيەلىك ئادەم، ماددا رۇھ، ئېنىرگىيە ۋە ھەرىكەت ھەققىدە كىشىنىڭ ئەقلىنى يورۇتىدىغان، مەۋجۇتلۇق ھەققىدە يىپيېڭى چۈشەنچىگە ئىگە قىلىدىغان نەزەرىيەنى كۆپچىلىكنىڭ دىققىتىگە سۇنۇش.
كۇۋانت فىزىكىسى دېگەن نېمە؟
كۇۋانت فىزىكىسى — ماددا ۋە ئېنېرگىيەنىڭ ئەڭ كىچىك زەررىچىلەر دەرىجىسىدىكى ھەرىكىتىنى، تەتقىق قىلىدىغان فىزىكا ساھەسى. بۇ ساھە ئاساسەن ئاتوم ۋە ئۇنىڭدىن كىچىك بولغان زەررىچىلەرنىڭ ( ئېلېكترون، فوتون، ۋە كۋارك) ھەرىكىتىنى چۈشەندۈرىدۇ.
:كۇۋانت فىزىكىسىنىڭ ئاساسىي پىرىنسىپلىرى
كۇۋانتۇم زەررىچىلەرنىڭ ئىككى خىل تەبىئىتى
زەررىچىلەر (مەسىلەن، ئېلېكترون) بىرلا ۋاقىتتا زەررە ۋە دولقۇن(تىترىشىم) خاسلىقىغا ئىگە. بۇنى ئالىملار دولقۇن-زەررە ئىككىلىكى دەپ ئاتايدۇ.
– مەسىلەن، فوتون (يورۇقلۇق زەررىچىسى) كۆزەتكۈچى بولغان شارائىتتا زەررە، كۆزەتكۈچى بولمىغان شارائىتتا دولقۇن شەكلىدە ھەرىكەت قىلىدۇ.
نائېنىقلىق پرىنسىپى
ھېيزېنبېرگنىڭ ئېنىقسىزلىق پىرىنسىپىغا كۆرە، زەررىچىلەرنىڭ ئورنى ۋە تېزلىكىنى بىر ۋاقىتتا ئېنىق بىلىش مۇمكىن ئەمەس. تېز كېتىۋاتقان ماشىنىنى سۈرەتكە تارتقاندا ئورنىنى ئېنىق تارتسىڭىز سۈرئىتى تۇتۇق چىقىدۇ؛ سۈرئىتىنى ئېنىق بىلەلىسىڭىز، ئورنىنى ئېنىق بىلەلمەيسىز، ئورنىنى ئېنىق بىلسىڭىز سۈرئىتىنى بىلەلمەيسىز.
كۇۋانت مەيدانى ۋە ئېنېرگىيەنىڭ ئاتلىشى
– زەررىچىلەرنىڭ ئېنېرگىيەسى بىر سەۋىيەدىن يەنە بىر سەۋىيەگە بىراقلا ئاتلايدۇ (ئارىلىقتا ئاز-ئازدىن ئۆتۈش يوق)، بۇنى ئالىملار كۇۋانت سەكرىشى دەپ ئاتايدۇ.
Super Position-پەۋقۇلئاددە ھالەت
زەررىچىلەر بىرلا ۋاقىتتا بىر نەچچە ھالەتتە بولىدۇ- مەسىلەن، ئېلېكترون بىرلا ۋاقىتتا بىر نەچچە ئورۇندا، ھەم بۇ يەردە ئۇ يەردە بولالايدۇ. بۇ ھالەت سۇپېرپوزىتسىيە دەپ ئاتىلىدۇ.
بىر-بىرىگە چېتىلىش
– ئىككى ياكى كۆپ زەررىچە ئارىلىقنىڭ ھەر قانچە ئۇزاق بولۇشىغا قارىماي بىر-بىرىگە باغلىنىدۇ، بىر-بىرىگە تەسىر كۆرسىتىدۇ.
كۇۋانت فىزىكىسى بىر نەزەرىيەلا بولۇپ قالماي، بۈگۈن ھەر ساھەدە قوللىنىلىۋاتقان ئىلغار تېخنىكىلارنىڭ ئاساسىنى تىكلىدى..
– كۇۋانت فىزىكىسىنىڭ پىرىنسىپلىرىغا ئاساسەن، كومپىيۇتېر مىكرو ئۆزەكلىرى، لازېر، ۋە يېرىم ئۆتكۈزگۈچ تېخنىكىلىرىدا زور بۆسۈشلەر قولغا كەلمەكتە..
.كۇۋانت كومپيۇتېرلىرى كەلگۈسىدە تېخىمۇ زور رول ئويناشى مۇمكىن
– كۇۋنت فىزىكىسى ئاتوم ۋە ئۇنىڭدىن كىچىك زەررىچىلەرنىڭ خاسلىقىنى چۈشەندۈرۈش ئارقىلىق، ماد ۋە ئېنېرگىيەنىڭ تەبىئىتىنى تېخىمۇ چوڭقۇر بىلىشىمىزگە يول ئاچتى. ئۇ تەبىئىي پەندە ئىنقىلاپ قوزغاپلا قالماي، پەلسەپە ۋە دىنىي ئېتىقادلارغىمۇ يېڭى چۈشەنچىلەر ئاتا قىلماقتا..
بىر ئېلىكترون زەررىچىسىنى كۆزەتكەندە نۇر توچكىسىغا ئايلانسا، كۆزەتمىگەندە دولقۇنسىمان ھەرىكەت قىلسا، كۆزەتچىنى ئۇ قانداق بىلىدۇ؟ ئەجىبا ماددىدىمۇ رۇھ، ئاڭ بولامدۇ؟ بۇ ھال ماددا بىلەن رۇھ ئايرىمىنى بىت-چىت قىلىۋېتىدىغان كۈچلۈك دەلىل سۇنماقتا.
بۇنىڭغا ئاساسەن ھەتتا بۇ دۇنيامۇ بىز مۇشۇنداق كۆرگەچكىلا مەۋجۇت، بۇنىڭدىن باشقا پاراللىل بىر دۇنيا مەۋجۇت دەيدىغان كۆز قاراشلار ئوتتۇرىغا چىقماقتا.
كۇۋانت فىزىكىسى بىزنىڭ دۇنيانى كۆرۈش ۋە چۈشەندۈرۈش ئۇسۇلىمىزنى .ئۆزگەرتتى
بىزنىڭ كۆرۈش، ئاڭلاش، پۇراش، تېتىش، تېگىش سەزگۈلىرىمىزمۇ تېگى تەكتىدىن ئېيتقاندا سۈنئىي، ئەمما ئۇ بىزگە تەبىئىي تۇيۇلىدۇ. كۇۋانت فىزىكىسىنىڭ ھەرىكىتىگە كۆرە، سىز ھېچنېمىگە ھەقىقىي مەنىدە تەگكۈچى بولالمايسىز. سىزنىڭ ئاتومىڭىز باشقا نەرسىلەردىن 10⁻⁸ مېتىر يىراقتا تۇرغاندا ئۇلارنى ئىتتىرىپ چىقىرىدۇ، سىز پەقەت قارشىلىق كۈچىنىلا سېزىسىز. تېخنىكىلىق جەھەتتىن ئېيتقاندا، سىز ھازىر ئۇچۇپ تۇرۇۋاتىسىز. تېگىش يوق، قۇچاقلاش يوق، سۆيۈش يوق، ئەمما… بۇلارنىڭ ھەممىسى سىز سېزىدىغان نەرسە.
ئاتومنىڭ ئىتتىرىش كۈچى
– تەخمىنەن ~10⁻⁸ مېتىر (1 ئانگستروم) دىن يېقىن ئارىلىقتا، ئاتومنىڭ ئەتراپىدىكى ئېلېكترون بۇلۇتى كۈچلۈك ئىتتىرىش ئېلېكتروستاتىك كۈچى ھاسىل قىلىدۇ.
– بىز «تەگكۈچ» دەپ چۈشىنىدىغان نەرسە ئەمەلىيەتتە ئېلېكتروماگنېت ئىتتىرىش كۈچى بولۇپ، زەررىچىلەرنىڭ بىۋاسىتە ئۇچرىشىشى ئەمەس.
كۇۋانت ھەقىقىتى
– ماددا ئاساسەن بوشلۇقتۇر. ئەگەر ئاتوم بىر پۇتبول مەيدانىنىڭ چوڭلۇقىدا بولسا، ئۇنىڭ يادروسى ئوتتۇرىدىكى بىر دانە قۇمدەك بولىدۇ.
– قاتتىق نەرسىلەر ھېچقاچان كېسىشمەيدۇ؛ ئۇلارنىڭ مۇقىملىقى كۋانتۇم ئېلېكتروماگنېت مەيدانىدىن كېلىدۇ.
كۇۋانت فىزىكىسىنىڭ پەلسەپىۋى نۇقتىسى
– تېگىش (سېزىمى) گەرچە مەجبۇرىي فىزىكىلىق ھەرىكەت بولسىمۇ ، ئۇنى بىلىپ قېلىش بىلەن ھاياتىمىزنىڭ ھۇزۇرى قاچمايدۇ. بىز يەنىلا ئۆز تەبىئىتىمىز بويىچە ياشاۋېرىمىز. چۈنكى ھېسسىيات، باغلىنىش ۋە جىسمانىي سېزىم يەنىلا نېرۋا ۋە بىئولوگىيەلىك جەھەتتىن ھەقىقىيدۇر. ھالبۇكى، كۋانت فىزىكىسىنىڭ ھەيرانلىق قىلارلىق ھەقىقىتىدىن غاپىل قالماسلىق كېرەك، ئۇنىڭ .ھەقىقىتى بويىچە بولغاندا، بىز ھەممىمىز ئەمەلىيەتتە ئۇچۇپ يۈرۈۋاتىمىز
تۆۋەندىكى ماقالە ئون نەچچە يىل ئىلگىرى ۋەتەندە ئېلان قىلىنغان بولۇپ، بىلىك ئىسىملىك قېرىندىشىمىز تەييارلىغان ئىكەن. مەزكۇر ماقالە كۇۋانت فىزىكىسى ھەققىدە مۇھىم بىلىملەرنى بېرىدۇ، شۇ چاغدىلا بۇ ماقالىدىن كۇۋانت فىزىكىسى ھەققىدە ساۋاتقا ئىگە بولغان ۋە بۇ ماقالىنى ساقلىۋالغانىدىم. ئارخىپلىرىمدىن چىقىپ قالدى ۋە بۇ بلوگدا ئېلان قىلىپ كۆپچىلىك بىلەن ھەمبەھىرلەي دېدىم. بۇ ماقالە كۆپ ئىزدىنىش بىلەن تەييارلانغان بولۇپ، كۇۋانت فىزىكىسىغا ئائىت ئۇقۇملار كۆپلىگەن رەسىم ۋە شەكىللەر ئارقىلىق قىزىقارلىق چۈشەندۈرۈلگەن، بۇلارنى بىر كۈن ئولتۇرۇپ رەتلەپ، چىقتىم، بەزى رەسىملەرنى ئۆزەم قوشتۇم. كۇۋانت فىزىكىسىنى فىزىكىغا، تەبىئىي پەنگە ئانچە قىزىقمايدىغان ئادەممۇ بىلىپ قويۇشى كېرەك دەپ ئويلايمەن، كاللا ئېچىلىدۇ، نەزەر دائىرە كېڭىيىدۇ، دۇنيا ھەققىدىكى تەپەككۇردا بىر ئىنقىلاپ بولىدۇ. ئابدۇرەھىم غېنى قېرىندىشىمىز بۇ ھەقتە بىر نەچچە سۆھبەتمۇ ئۇيۇشتۇردى، ئاڭلاپلا قويۇپ ئۇنتۇپ كېتىدىغانلار ياكى چۈشەنمەي قالغانلار بولۇشى مۇمكىن، ماۋۇ ماقالىنى قايتا-قايتا كۆرسە چوقۇم ياردىمى بولىدۇ دەپ ئىشىنىمەن.
كۇۋانت دۇنياسىغا كىرىش
كۇۋانت سۆزى ئېنگىلىزچىدىن كىرگەن بولۇپ، مىقدارچە دىگەن مەنىنى بىلدۈرىدۇ. كۇۋانت گەرچە بۇندىن يۈزيىللار ئىلگىرى مەيدانغا كەلگەن بولسىمۇ بىر قەدەر ئابىستاركىتنىلىقى، رىياللىقتا ئۇيغۇنسىز كۆرۈنىدىغان بەزى زىدىيەتلىك پەلسەپىلىرى بىلەن يەنىلا مۇتلەق كۆپ ساندىكى كىشىلەرگە ناتونۇش بولۇپ تۇرماقتا. بولۇپمۇ، ھازىرقى زامان پەن-تېخنىكىسى ۋە تەتقىقات ساھەلىرىگە تولىمۇ يىراقتا تۇرغان بىزگە نىسبەتەن كۇۋانت ئۇقۇمى بەك تونۇش ئەمەس. ئاددى قىلىپ ئېيتقاندا كۇۋانت ئۇقۇمى مىكىرو دۇنياغا كىرگەندە ئاندىن ئوتتۇرىغا چىقىشقا باشلايدىغان فىزىكىلىق ئۇقۇم. كىلاسسىك فىزىكىدا جىسىملارنىڭ ھەرىكەت قىلىش ۋە تەسىرلىشىش قانۇنىيەتلىرىنى نىيوتۇن ۋە ماكسىۋېل تەڭىلىمىللىرى بىلەن؛ ئىسسىقلىق ۋە يورۇقلۇق ھادىسلىرىنى كىلاسسىك سىتاتىستىكا ۋە دولقۇن تەڭلىمىللىرى بىلەن ھەل قىلغان بولسا، بۇ مۆتىۋەر قانۇنلار ھەل قىلالمايدىغان بەزى غەيرى پاكىتلار كۇۋانت ئۇقۇمىنىڭ ئوتتۇرىغا چىقىشىغا سەۋەپ بولغان ئىدى. كىيىن، كۇۋانت قانۇنلىرى فىزىكىدا مىكىرو دۇنيادىكى زەرىچىلەرنىڭ ھەرىكەت ۋە تەسىرلىشىش قانۇنىيەتلىرىنى ئىپادىلەپ بىرىدىغانلىقى ئېنىق بولدى.
ئەمسە نىمە ئۈچۈن كۇۋانت بىلىمىگە ئېھتىياجلىق بولىمىز؟ قىسقىچە قىلىپ ئېيتقاندا كۇۋانت بىلىملىرى زامانىۋى تېىنىكا ۋە ئېنژىنىرلىق ساھەلىرىدە كەم بولسا بولمايدىغان ئاساسى بىلىم بولۇپ قالدى. كۇۋانت پىرىنسىپلىرىنىڭ تېخىكىدا قوللىنىلىش ئىستىقبالى پارلاق! ھازىرقى كۇۋانتقا قىزىقىپ قالغان بىر ئوقۇغۇچى كەلگۈسىدە ياراملىق بىلىم ئادىمى ۋە ئېنژىنىر بولۇپ يېتىشىپ چىقىشى مۇمكىن…
ئەلبەتتە ھەممە ئادەمنىڭ ئېنژىنىر ۋە بىلىم ئادىمى بولۇپ كىتىشى ناتايىن، لىكىن ھېچ بولمىغاندا بىلىملەر گىرەلىشىپ كىتىۋاتقان مۇشۇنداق زاماندا بۇ ئەڭ جۇشقۇن تەرەققى قىلىۋاتقان پەلسەپىيىۋى بىلىملەرنى بىلىپ قويۇش بىزگە زەرەر قىلمىسا كىرەك، ھېچ بولمىغاندا بىزنىڭ تەسسەۋۇرىمىزنى بېيىتىشى مۇمكىن.
بۇ ئاممىباپ يازمىدا كىلاسسىك فىزىكىدىكى(ۋە پۈتۈن تەبىئەت پەلسەپىسىدىكى) ئەڭ مۇھىم ئىككى ئۇقۇم ماسسا ۋە زەرەت ئۇقۇمىدىن چىقىپ تۇرۇپ، كىلاسسىك فىزىكىنى ئەڭ ئاددى تىللار بىلەن ئەسلەپ ئۆتىمىز. مۇشۇنىڭدىن چىقىش قىلىپ، كۇۋانت فىزىكىسى بىلەن ئاددىيچە تونۇشۇپ ئۆتىمىز. بۇنىڭدا كۇۋانت ئۇقۇمىنىڭ پەيدا بولۇش تارىخىدىن باشلاپ، كۇۋانت پىرىنسىپلىرىدىكى بەزى زىدىيەتلەرنى ھىكايە شەكىلدە تونۇشتۇرۇپ ئۆتىمىز. ئاخىرىدا كۇۋانت پىرىنسىپلىرىنىڭ زامانىۋى تېخنىكىلاردا قوللىنىشلىرىدىن بىر قانچە مىسال كەلتۈرۈپ يازمىغا خاتىمە بىرىمىز.
بۇ يازما ئاساسەن بىر پۈتۈن فىزىكىنى يىغىنچاقلىغان ئاساستا كۇۋانت فىزىكىسى تونۇشتۇرۇلدى. ئۆز بىلىمنىڭ ئۆز ئانا تىلدا ئىپادىلەنمىسى بولغاچقا تولۇق ئوقۇپ چىققان كىشىگە نۇرغۇن بىلىم ۋە زوق بىرەلەيدۇ دەپ ئىشىنىمەن! ۋاقىت ئىتىبارى بىلەن بۇ يازما بەزى كەمچىلىك ۋە خاتالىقلاردىن خالى بولالماسلىقى تەبى. بۇ ساھەدىكى ئۇستازلار ۋە دوستلارنىڭ تۈزۈتۈش ۋە تولۇقلاش پىكىرلىرىنى بىرىش بىلەن بىر ۋاقىتتا باشقىلارنىڭ يازمىنى چۈشىنەلىگەنلىك چۈشىنەلمىگەنلىك ھەققىدە پىكىردە بولۇشىنى سورايمەن!
كىلاسسىك فىزىكىدا ماسسا ۋە زەرەت
ماسسا
گېپىمىزنى ماسسا ئۇقۇمىدىن باشلايلى. ئوتتۇرا مەكتەپ دەرسلىكلىرىدە ماسسىغا ‹‹جىسم ئۆز ئىچىگە ئالغان ماددىنىڭ ئاز-كۆپلىكى›› دەپ ئېنىقىما بېرىلگەن. مۇشۇ بويىنچە چۈشەنگەندە، ئوخشاش ھەجىمدىكى جىسىم تەركىۋىدە ماددا قانچە كۆپ بولسا، نەرسىنىڭ ماسسىسى شۇنچە چوڭ بولىىدۇ دىگەن گەپ چىقىدۇ. بىز كۆپىنچە ئېغىرلىق بىلەن ماسسا ئۇقۇمىنى ئارلاشتۇرۇپ قويىمىز، لىكىن ئىككىسى پەرىقلىق ئۇقۇملار، ئېغىرلىق بولسا جىسىمنىڭ ماسسىسى پەيدا قىلغان كۈچتىن ئىبارەت.
ئۇنداقتا كۈچ دىگەن نىمە؟ ئات ھارۋېنى كۈچ بىلەن تارتقاندا ھارىۋا ھەرىكەت قىلىشقا باشلايدۇ، ئاتنىڭ كۈچى ھارىۋېنىڭ ھەرىكىتىگە سەۋەپ بولدى. پۇتبۇلچى توپنى تەپسە توپ قاڭقىپ ئۇچۇپ چىقىدۇ، دىمەك توپنىڭ ھەرىكىتىگە پۇتبۇلچىنىڭ تېپىشى يەنى كۈچ چۈشۈرىشى سەۋەپ بولدى، يەر قوياش ئەتىراپىدا ئايلىنىدۇ، قوياشنىڭ يەرنى تارتىش كۈچى يەرنىڭ قوياشنى ئايلىنىپ ھەرىكەت قىلىشىغا سەۋەپ بولدى،…دىمەك مۇشۇنداق مىساللارغا قاراپ، كۈچ بولسا جىسىمدا ھەرىكەت پەيدا قىلىدىغان سەۋەپ دەپ ئېنىقلىما بەرسەك بولارمۇ؟ يەنە باشقا مىساللارغا قاراپ باقايلى: چۆچۈپ كەتكەن ئات ھارىۋېنى سۆرەپ شەھەر ئىچىدە قالايمىقان چېپىپ كىتىۋاتقاندا بەستلىك بىر پالىۋان چىقىپ ھارىۋېنى تۇتىۋېلىپ، ئاتنى توختاتتى، ئۇچۇپ كەلگەن توپنى يەنە بىر پۇتبۇلچى پۇت بىلەن توسۇپ توختاتتى، ياكى تېپىپ توپنىڭ ئۇچۇش يۆنىلىشىنى ئۆزگەرتتى، يەر قوياشنى ئايلىنىپ ھەرىكەت قىلۋاتقاندا ئايلانما ھەرىكەتنىڭ يۆنىلىشى ھەرۋاقىت ئۆزگۈرۈپ تۇرىدۇ… مۇشۇ مىساللارغا قاراپ كۈچكە جىسىم ھەرىكەت ھالىتىنى ئۆزگەرتىدىغان سەۋەپ دەپ ئېنىقلىما بېرىشكە بولىدۇ. نىيوتۇننىڭ بىرىنچى قانۇنىدا شۇنداق دىيىلگەن: ‹‹كۈچ بولسا جىسىم ھەرىكەت ھالىتىدە ئۆزگۈرۈش پەيدا قىلىدىغان سەۋەپ بولۇپ، جىسىمغا تەسىر قىلغان يىغىدى كۈچ نۆل بولسا جىسم تىنچ ياكى تەكشى ھەرىكەت ھالىتىنى ساقلايدۇ.›› ئەمەلىيەتتە كۈچ تەسىرىگە ئۇچىرىمايدىغان جىسىم مەۋجۇت ئەمەس، ھەمدە مۇتلەق تىنىچ ھالەتتە تۇرىدىغان جىسىم مەۋجۇت ئەمەس، پەقەت جىسىمغا بىرنەچچە كۈچ تەسىر قىىۋاتقان بولسا يۆنىلىشى قارمۇقارشى، چامىسى ئوخشاش بولغان كۈچلەر بىر بىرىنىڭ تەسىرىنى يوق قىلىدۇ ھەمدا جىسىمدا نىسپىي تەڭپۇڭلۇق ھالەتنى ساقلايدۇ. دىمەك تىنىچ دىگەن ئۇقۇمنى تەڭپۇڭ ھالەت دەپ چۈشەنسەك خاتالاشمايمىز. ئۇلارنىڭ جىسىمغا نىسپەتەن ئۈنۈمى نۆلگە تەڭ بولدۇ.
ھەرىكەت دىگەن ئۇقۇم نىسپىي مەنادا بولۇپ، كۆزەتكۈچىگە نىسبەتەن جىسىمنىڭ ئورۇنىنىڭ ئۆزگۈرىشى ھەرىكەت دەپ ئاتىلىدۇ. دىمەك كۈچ جىسىمنى ھەرىكەت قىلدۇرىدىغان ياكى ھەرىكەت ھالىتىنى ئۆزگەرتىدىغان سەۋەپ. كۈچ بىلەن ھەرىكەتنىڭ (ياكى ھالەت ئۆزگۈرۈشنىڭ) ئاددى لوگىكىلىق مۇناسىۋېتى بولسا نىيوتۇننىڭ ئىككىنچى قانۇنى: «جىسىمغا تەسىر قىلغان كۈچ جىسىم ھەرىكەت ھالەت ئۆزگۈرىشىگە ئوڭ تاناسىپ بولۇپ، كۈچ ماسسا بىلەن ھەرىكەت تىزلىك ئۆزگۈرىشىنىڭ كۆپەيتمىسىگە تەڭ بولىدۇ.» ئارقىلىق ئىپادىلىنىدۇ. بۇ يەردە a تىزلىك ئۆزگۈرىشىنى ئىپادىلەيدىغان فىزىكىلىق مىقتار بولۇپ تىزلىنىش دىيىلىدۇ. دىمەك، جىسىم ماسسىسى بىلەن ھەرىكەت ۋە كۈچ بۇ يەردە باغلاندى. نىيوتۇننىڭ ئىككىنچى قانۇنىنى ماتېماتىكىلىق ئىپادە بىلەن مۇنداق ئىبادىلەيمىز:
F=ma
يەنە بىر مىسال كەلتۈرەيلى: قولىمىزدىكى ۋاسكىتپۇلنى تامغا قارىتىپ ئاتساق، تامدىن قاڭقىپ يېنىپ كىلىدۇ. بۇ جەرىياندا توپ بىزنىڭ كۈچىمىزنىڭ تۈرۈتكىسىدە ئۇچۇپ چىقىپ كەتتى ھەمدە مەلۇم كۈچ بىلەن تامغا سوقۇلغاندىن كىيىن تامنىڭ توپقا بەرگەن ئەكىس تەسىر كۈچىنىڭ تۈرۈتكىسىدە بىزگە قاراپ ئۇچۇپ كەلدى… دىمەك ھەرقانداق بىر جىسم كۈچ تەسىرىگە ئۇچىراش بىلەن بىر ۋاقىتتا ئۆزى بىلەن تەسىرلىشىۋاتقان يەنە بىر جىسىمغا ئوخشاش چامىدىكى ۋە قارمۇ-قارشى يۆلىنىشتىكى كۈچنى بىرىدۇ. تەسىر كۈچ ۋە ئەكىس تەسىر كۈچ ھەر ۋاقىت بىللە مەۋجۇت بولۇپ تۇرىدۇ، بىرى پەيدا بولغان ھامان يەنە بىرى يەيدا بولىدۇ. بۇ بىر جۈپ قارمۇ قارشى كۈچ بىز يۇقىردا تىلغا ئالغان تەڭپۇڭ كۈچلەردىن پەرىقلىق بولۇپ، تەڭپۇڭ ھالەتتە ئىككى ياكى ئۇنىڭدىن ئارتۇق كۈچ بىر جىسىمغا تەسىر قىلسا تەسىر ۋە ئەكىس تەسىر كۈچ تەسىرلىشىۋاتقان ئىككى جىسىمغا ئوخشاش ۋاقىتتا تەسىر قىلىدۇ. تەسىر ۋە ئەكىس تەسىر كۈچ نىيوتۇننىڭ ئۈچىنچى قانۇنىدا شۇنداق بايان قىلىنىدۇ:«جىسىملار ئۇچىرىغان تەسىر كۈچ ۋە ئەكىس تەسىر كۈچنىڭ چامىسى تەڭ، يۆنىلىشلىرى قارمۇ-قارشى بولۇپ، بىر تۈز سىزىق ئۈستىدە تەسىر قىلىشىدۇ.
كىلاسسىك مېخانىكا ئاساسەن نىيوتۇننىڭ ھەرىكەت قانۇنلىرىغا مەركەزلەشكەن بولۇپ، ئۇنىڭ ئۈچ قانۇنى بىلەن كىچىكى يەر يۈزىدىكى زەرىچىلەردىن تارتىپ، يەرشارىدىن ھالقىپ قوياش سىستىمىسى ۋە پىلانىتلارنىڭ ھەرىكىتىنى تەسۋېرلىگىلى بولىدۇ. فىزىكىغا كەڭ دائېرىدىن ماددىلارنىڭ ھەرىكىتىنى ۋە ئۆز-ئارا تەسىرلىشىشنى تەتقىق قىلىدىغان پەن دىسەك، ماددا ھەرىكىتىنى ئىپادىلەيدىغان فىزىكىلىق مىقدارلاردىن، تىزلىك، تىزلىنىش، ۋاقىت؛ ئۆز-ئارا تەسىرنى ئىپادىلەيدىغان فىزىلىلىق مىقدارلاردىن، كۈچ ۋە ئېنىرگىيە ھەمدە ماددىنىڭ كۆپ-ئازلىقىنى ئىپادىلەيدىغان فىزىكىلىق مىقتار، ماسسا بىلەن ماكىرو دۇنيادىكى بارلىق فىزىكىلىق قانۇنىيەتلەرنى ئىپادىلەپ چىققىلى بولىدۇ. بۇ قانۇنىيەتلەرنى لوگىكىلىق باغلىنىش- ماتېماتىكىلىق فورمىلا (تەڭلىمە ياكى ئىپادە) بىلەن تەسۋېرلىگەندىن كىيىن ماتېماتىكىنىڭ ياردىمى بىلەن ماددىنىڭ كەلگۈسى ۋە ئۆتمۈش ۋە ياكى ھەرقانداق ۋاقىتتىكى ھەرىكەت ئەھۋالىغا توغرا ھۆكۈم چىقارغىلى بولىدۇ! بۇنىڭ تىپىك مىساللىرىدىن، توپ- زەمبىرەك، باشقۇرىلىدىغان بومبا، سۈنئىي ھەمراھ قويۇپ بېرىش ۋە ھاكازالار…
رىۋايەتلەردە، نىيوتۇن ئالما دەرىخى تۈۋىدە ئولتۇرغاندا بېشىغا چۈشكەن بىر تال ئالمىدىن ئېلىھاملىنىپ، بۇنىڭ سەۋەپ-نەتىجە قانۇنىيتى ھەققىدە پىكىر يۈرگۈزۈشكە باشلايدۇ. «ئەجەبا ئالما ھېچ سەۋەپسىز يەرگە چۈشەرمۇ؟…» دىگەن ئوي بىلەن تەپەككۇر قىلىپ، ئالمىنىڭ بولسا يەرنىڭ تارتىش كۈچى تۈرۈتكىسىدە يەرگە چۈشىدىغانلىقىنى، يەر ئالمىنىلا ئۆزىگە تارتىپ قالماستىن يەر يۈزىدىكى ھەرقانداق نەرسىنى تارتىپ تۇرىدىغانلىقىنى ھەتتا ئاينىڭ يەرنى، يەرنىڭ قوياشنى ئايلىنىپ ھەرىكەت قىلىشى ئۆز-ئارا تارتىش كۈچىدىن بولغان دەپ، <<ئاخىرىدا ئالەملىك تارتىش كۈچى>> نى بايقىدى. ئالەملىك تارتىش كۈچى ئالەمدىكى ماسسىغا ئىگە ھەرقانداق جىسىم ئارىللىرىدا بولىدىغان تارتىش كۈچىدىن ئىبارەت بولۇپ، ئۇنىڭ ماتىماتىكىلىق فورمىلاسىنى تۆۋەندىكىدەك ئىپادە ئەتتى:
بۇ يەردە ئىككى جىسىم ئوتتۇرىسىدىكى تارتىش كۈچى ئۇلارنىڭ ماسسىللىرىنىڭ سەۋەبىدىن بولدى دەپ قارىساق بولىدۇ. دىمەك، ماسسا بولغانىكەن كۈچ ھامان مەۋجۇت بولۇپ تۇرىدۇ، كۈچ بولغانىكەن ماددا ئېنىرگىيەگە ئىگە دىسەك بولىدۇ. چۈنكى ئېنىرگىيە ئىش قىلىدىغان (يەنى ماددىنىڭ ھالىتىنى ئۆزگەرتىدىغان) كۈچتىن ئىبارەت. فىزىكىدا ئېنىرگىيە ئەڭ ھۆرمەتكە سازاۋەر مۆتىۋەر فىزىكىلىق مىقتار. دىمەك فىزىكىدا ماددىنىڭ ياكى ماددىلار سېستىمىسىنىڭ ئېنىرگىيەسى بىز ئەڭ كۆڭۈل بۆلىدىغان فىزىكىلىق مىقتاردۇر. كىلاسسىك فىزىكىدا ماددىلار سىستىمىسىنىڭ ئومۇمى ئېنىرگىيەسى جىسىملارنىڭ ھەرىكەت ۋە پوتېنسىيال ئېنىرگىيەلىرىنىڭ يىغىندىسى بولغان خامىلتون مىقتارى ئارقىلىق ئىپادىلەنگەن بولۇپ، ماتېماتىكىلىق ئىپادىسى تۆۋەندىكىدەك:
H=T+V
بۇ يەردە Tھەرىكەت ئېنىرگىيە، V بولسا پوتېنسىيال ئېنىرگىيەنى ئىپادىلەيدۇ. جىسىم ھەرىكەت قىلىۋاتقانلىق سەۋەپتىن ھەرىكەت ئېنىرگىيەسىگە ئېگە بولىدۇ. چۈنكى ھەرىكەتنى توختۇتۇش ياكى ھەرىكەت ھالىتىنى ئۆزگەرتىش ئۈچۈن كۈچ لازىم بولىدۇ. پوتېنسىيا ئېنىرگىيەسى بولسا تارتىش كۈچىگە ئوخشاش كۈچ مەيدانىدا ياكى پىرژۇۇنىلارغا ئوخشاش ئېلاستىك (يەنى ئەسلىگە كېلىش ) كۈچىگە ئېگە نەرسىلەردە بولىدىغان كۈچتىن ئىبارەت. بۇ يەردە ھامان كۈچ بىلەن ئېنىرگىيە ئوخشاش مەنادا ئېلىنىۋاتقان بولسىمۇ ئىككىسى ئوخشاشمىغان فىزىكىلىق مىقتارلاردۇر. كۈچكە ھەرىكەت قوشۇلۇق ئاندىن ئېنىرگىيە ئوتتۇرىغا چىقىدۇ. كۈچنىڭ بىرلىكى N(نىيوتۇن) بولسا, كۈچ تەسىرىدە ھەرىكەت قىلغان مۇساپە m(مېتىر) بولسا ئېنىرگىيەنىڭ بىرلىكى N.m(نىيوتۇن. مېتىر) بولىدۇ، دىمەك ماتېماتىكىدا ئېنىرگىيە كۈچ بىلەن يۆتكىلىشنىڭ كۆپەيتمىسىدۇر. ئېنىرگىيەنىڭ باشقا بىر بىرلىكى بولۇپ خەلىقئارا بىرلىككە كەلگەن بىرلىك جول(J) ياكى ئېلىكترون ۋولت(eV).
جول ئىسسىقلىقنى تەتقىق قىلغۇچى مەشھور فىزىكا ئالىمى جول نىڭ نامى بىلەن بېرىلگەن. فىزىكىدا ئىسسىقلىق ماددىلارنىڭ قالايمىغاق ھەرىكەت جىددىيلىكىنى ئىپادىلەيدىغان فىزىكىلىق مىقتار. بۇ يەردە نىمە ئۈچۈن ئېنىرگىيەنى سۆزلەپ كېلىپ ئىسسىقلىق ئوتتۇرىغا چىقىپ قالدى؟ ئەمەلىيەتتە ئىسسىقلىق جسىمىنى تۈزگۈچى ماددىلارنىڭ شىددەتلىك ھەرىكەت قىلىشىنىڭ مەسھۇلىدۇر. بىر تال تۆمۈرنى بازغانلاپ، ئۇنى تۇتساق ناھايىتى قىززىپ كەتكەنلىكىنى كۆرىمىز، ئىككى نەرسىنى بىر-بىرىگە سۈركىسەك ئۇلار قىززىيدۇ. بۇرۇنقى زامانلاردا كىشلەر ياغاچلارنى بىر بىرىگە سۈركەپ ئوت چىقىراتتى…
فىزىكا ئالىمى جول ئىسسىقلىق بىلەن تاشقى ئېنىرگىيەنى باغلايدىغان مۇنداق مەشھور تەجىربىنى ئىشلىگەن: بىر دانە مېخانىكىلىق قۇرۇلما چاقپەلەك بىلەن سۇنى قۇچۇپ ئىسسىتىپ، مېخانىكىنىڭ ئىسسىقلىق ئېففىكتىنى ھېسابلاپ چىققان. رەسىمدە تەجىربە قۇرۇلمىسى كۆرسىتىلدى.
ئىسسىقىق ھادىسلىرى ئەمەلىيەتتە ماددىلار سېستىمىسىنىڭ مىكرولۇق ھەرىكەت ھالەتلىرىنىڭ ئىپادىسىدۇر. قالايمىقانلىق ۋە جىددىيلىك ئىسسىقلىقنى ئەكىس ئەتتۈرۈپ بېرىدۇ. فىزىكىنىڭ ئىسسىقلىق ھادىسلىرىنى تەتقىق قىلىدىغان تارمان پېنى تېرمودېنامىكا (مەنىسى: ئىسسىقىلىق ھەرىكىتى) تېمپۇراتۇرا، ئىنتروپىيە، ئىچكى ئېنىرگىيە،… قاتارلىق فېزىكىلىق مىقتارلىرى ۋە ئۇلار ئوتتۇرىسىدىكى ماتېماتىلىلىق باغلىنىش فورمۇلالىرى ھەمدە تېرمودىنامىكىنىڭ ئۈچ قانۇنى بىلەن بارلىق كىلاسسىك ئىسسىقلىق ھادىسلىرىنى چۈشەندۈرۈپ بېرىدۇ.
تېرمودىنامىكىنىڭ ئۈچ قانۇنى تۆۋەندىكىدەك:
تېرمودىنامىكىنىڭ بىرىنچى قانۇنى: پۈتۈن ئالەمنىڭ توپلام ئېنىررگىيەسى مۇقىم بولۇپ، ئېنىرگىيە ، ماددا ئارىسىدا ئۆتۈشۈپ، بىر خىل شەكىلدىن، يەنە بىرخىل شەكىلگە ئۆزگۈرۈپ تۇرىدۇ. بۇ پىرىنسىپ، ئېنىرگىيەنىڭ ساقلىنىش قانۇنى دەپمۇ ئاتىلىدۇ.
تېرمودىنامىكىنىڭ ئىككىنچى قانۇنى: ئىسسىقلىق ھامان يۇقىرى تېمپۇراتۇرىلىق جىسىمدىن تۆۋەن تېمپۇراتۇرىلىق جىسىمغا يۆتكىلىدۇ. ئىسسىقلىق ئېنىرگىيە يۆتكىلىشى بىر يۆلىنىشلىك بولۇپ، تەتۈر يۆلىنىشلىك يۆتكىلىش يۈز بەرمەيدۇ.
تېرمودىنامىكىنىڭ ئۈچىنچى قانۇنى: ئەگەر ئاتوم، مولىكولىلارنىڭ ئىسسىقلىق ھەرىكەتلىرى توختۇتۇلسا مۇتلەق تېمپۇراتۇرىغا ئېرىشكىنى بولىدۇ. مۇتلەك تېمپۇراتۇرا نۆلدىن تۆۋەن 273.15 سىلتسىيە گىرادۇس بولۇپ 0 كىلىۋىن مۇتلەق تېمپۇراتۇرا دەپ ئاتىلىدۇ.
كىشىلەرنىڭ تېرمودىنامىكا ۋە ئىسسىقلىق ھادسلىرى ھەققىدىكى ئىزدىنىشلىرى نەتىجىسىدە ئىچىدىن يانىدىغان دىۋىگاتىل، پارماشىنىسى، پاراۋۇز،… قاتارلىقلارنى كەشىپ قىلىپ سانائەت ئېىنقىلاۋىنى قوزغىدى…
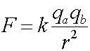
زەرەت
فىزىكىدىكى يەنە بىر مۇھىم مىقتار زەرەتتىن ئىبارەت. ئۇيغۇر تىلىدىكى زەررەت ئۇقۇمى «زەررە» دىگەن سۆزدىن كەلگەن بولىشى مۇمكىن. ئۇيغۇر تىلىغا ئەرەپ تىلىدىن كىرگەن سۆز زەررە ناھايىتى كىچىك دىگەن مەنىنى بىلدۈرىدۇ. ئېنگىلىز تىلىدا بولسا charge (چارج) دىيىلىدۇ… نىمىلا دىيىلمىسۇن، زەرەت ئۇقۇمى كۆپىنچە ئوقۇرمەنلەرگە ناتونۇش بولمىسا كىرەك. كاۋچۇك ياكى پىلاستىك تاياقچىنى تېرىگە ياكى يۇڭغا سۈركەپ، كىچىك پارچە قەغەز ياكى چاچلارغا ئوخشاش يېنىك نەرسىلەرگە يېقىنلاشتۇرساق ئۇلارنى ئۆزىگە تارتقانلىقىنى كۆرىمىز. بۇنى بىز ئۇلار قارمۇ-قارشى زەرەتلەنگەنلىكتىن بىر-بىرىنى تارتىشىدۇ دەپ چۈشەندۈرىمىز. ھازىرچە بىز ئىنچىكىلەپ چۈشەندۈرەلەيدېغىنىمىز، ماددىلارنى تۈزگۈچى ئاتوملار مەنپى زەرەتلىك ئېلىكترونلار بىلەن مۇسپەت زەرەتلىك ئاتوم يادروسىدىن تۈزۈلگەن بولغاچقا، جىسىملار بىر-بىرىگە سۈركەلگەندە، جىسىم يۈزىدىكى ئېلىكترونلار نىڭ بىر قىسمى يەنە بىر جىسىمغا كۆچكەنلىكتىن قارشى جىسىم قىسمەن ھالدا مەنپى زەرتلىنىدۇ، ئۆزى بولسا قىسمەن مەنپى زەرەتنى يوقاتقانلىقتىن مۇسپەت زەرەتلىنىدۇ، شۇنىڭ بىلەن ئىككى جىسىم ئوتتۇرىسىدا تارتىشىش يۈز بېرىدۇ. زەرەتنىڭ ماھىيىتى نامەلۇم، لىكىن فىزىكىدا ئۇنى ماددىنىڭ بىر خۇسۇسىيتى سۈپىتىدە ئېنىقلىما بىرىدۇ.
ماسسىغا ئوخشاش زەرەتمۇ جىسىم ھەرىكەت ھالىتىدە ئۆزگىرىش پەيدا قىلالايدۇ، يەنى كۈچ پەيدا قىلالايدۇ. دىمەك بۇ يەردە زەرەت بولغانلىقى ئۈچۈن ئۇ ھاسىل قىلغان ئېنىرگىيە مەۋجۇت. زەرەتلەر ھاسىل قىلغان تەسىر كۈچ كولۇن قانۇنى ئارقىلىق ئىپادىلىنىدۇ. كولۇن قانۇنىنىڭ بايانىچە، زەرەتلەر ئوتتۇرىسىدىكى تەسىر كۈچ ئۇلارنىڭ كۆپەيتمىسىگە ئوڭ تاناسىپ، ئارلىقلىرىغا تەتۈر تاناسىپ بولىدۇ. ئوخشاش زەرەتلەر تېپىشىدۇ، ھەرخىل زەرەتلەر تارتىشىدۇ. ماتېماتىلىكىق فورمۇلاسى:
بۇ فورمىلا ئالەملىك تارتىش كۈچىگە ئوخشاش بولۇپ، ماسسىلارنىڭ ئورىنىغا زەرەت مىقتارلىرىنى قويساق، تارتىش تۇراقلىقىنى ئۆزگەرتسەك كولۇن قانۇنىغا ئېرىشىمىز، لىكىن زەرەت ئىككى خىل بولغانلىقى ئۈچۈن تارتىشىش ۋە تېپىشى كۈچى مەۋجۇت. (ئەگەر ھازىزقى زامان نەزەرىيە فىزىكىسىدا ئوتتىرىغا چىققان قاراڭغۇ ماددا مەنپى ماسسىغا ئىگە بولسا، قاراڭغۇ ماددا بىلەن ماددا ئوتتۇرىسىدا تېپىشىش كۈچى مەۋجۇت دەپ قاراشقا بولىدۇ! شۇنداق بولغاندا زەرەت ئىككى خىل بولغاندەك ماسسىمۇ ئىككى خىل بولىشى مۇمكىن. يازغۇچى تەسەۋۇرى)
زەرەت ئەتىراپىغا كۈچ مەيدانى شەكىللەندۈرىدۇ، بۇنى بىز زەرەت ھاسىل قىلغان مەيداننىڭ پوتېنسىيالى دەيىز. بۇ مەيدانغا قويۇلغا ن ھەرقانداق زەرەت مەيدان كۈچىنىڭ تەسىرىگە ئۇچىرايدۇ،-دە مەيدانغا قويۇلغان زەرەتنىڭ ھەرىكەت ھالىتى ئۆزگۈرىدۇ، تىنىچ قويۇلغان بولسا ھەرىكەت قىلىشقا باشلايدۇ، ھەرىكەت قىلىپ كىرگەن بولسا تىزلىنىش ھاسىل قىلىدۇ…
دىمەك زەرەتنى ھەرىكەتلەندۈرۈش ئۈچۈن بىر پوتېنسىيال لازىم بولىدىكەن. ئۇ ھالدا زەرەتلەرنىڭ شۇ پوتېنسىيالنىڭ تۈرتكىسىدە بىر يۆلىنىشكە تەرتىپلىك ئېقىشى بىز بىلىدىغان توك ئېقىمىدىن ئىبارەت. بىز ماددىنىڭ ئاتوملاردىن تۈزىلىدىغانلىقىنى، ئاتوملارنىڭ بولسا (مۇسپەت زەرەتلىك) يادرونى ئايلىنىپ تۇرىدىغان مەنپى زەرەتلىك ئېلىكترونلارنىڭ بولىدىغانلىقىنى بىلدۇق، شۇ ئېلىكترونلارئەگەر سىرىتقى پوتېنسىيالنىڭ تەسىرىدە موقىم يۆلىنىشتە ھەرىكەتلىنىشكە باشلىسا ماددىدا توك ئۆتۈشۈش ھادىسسى يۈز بىرىدۇ. ئەلبەتتە ھەرقانداق جىسىمدىن توك ياخشى ئۆتىۋەرمەيدۇ، بەزى جىسىملاردىن ياخش توك ئۆتىدۇ، بۇلارنى بىز ئۆتكۈزگۈچ دەيمىز، بەزى جىسىملاردىن قىسمەن توك ئۆتىدۇ، بۇلار يېرىم ئۆتكۈزگۈچلەردۇر، بەزى جىسىملار ئادەتتىكى ئەھۋالدا پەقەت توك ئۆتكۈزمەيدۇ، بۇلارنى بىز ئېزىلياتورلار دەيمىز. نىمە ئۈچۈن بۇنداق بولىدىغانلىقى كىيىن كۇۋانت فىزىكىسىنى سۆزلىگەندە قىستۇرۇپ ئۆتىمىز…
مىتاللار ياخشى ئۆتكۈزگۈچلەردۇر. مىتال سىملاردىن توك ئۆتىۋاتقان ۋاقىتتا ئۇنىڭ ئەتىراپىدا ماگنىت مەيدانى شەكىللىنىدىغانلىقىنى 1820– يىلى ئورېسىتېد تەجىربە ئىشلەۋېتىپ تاسادىبى بايقىدى، ھەمدە ماگنىتىزىم بىلەن ئېلىكتىرنىڭ ماھىيەتتە بىر- بىرىدىن ئايرىلماس قوشماقلار ئىكەنلىكى شۇنىڭدىن باشلاپ ئېنىقلاندى. ماگنىت ئەمەلىيەتتە ئېلىكترونلارنىڭ ئۆزئوقىدا ئايلىنىپ تۇرىشىنىڭ ماكرولۇق ئىپادىسى ئىدى. بەزى جىسىملارنىڭ ماگنىتلىق بولىشىمۇ جىسىم يۈزىدىكى ئېلىكترونلارنىڭ بىر يۆلىنىشتە تەرتىپلىك ئايلىنىپ تۇرىشىدىن ئىبارەت، بۇ جىسىمنىڭ ئاتوم تۈزىلىشىگە باغلىق ئىدى…
ئېلىكتىر توكىنىڭ ماگنىت بىلەن باغلىنىشى، يەنى تەسىرلىشى بايقالغاندىن كىيىن كىشىلەر ئېلىكتىر ماتورىنى كەشىپ قىلدى. ئۆزگۈرىۋاتقان توك ماگنىت مەيدانىنى ھاسىل قىلالىغان ئىكەن، بۇنىڭ ئەكسى يەنى ئۆزگۈرىۋتقان ماگنىت مەيدانى توكنى شەكىللەندۈرەمدۇ قانداق؟ ئامپېر مۇشۇ پىكىر بىلەن كىيىن ماگنىت مەيدانىنىڭ ئۆزگۈرىشى توكنى شەلىللەندۈرىدىغانلىقىنى بايقىدى، ھەمدە كىشىلەرنىڭ باتارىيەدىن قۇتۇلۇپ، توك ھاسىل قىلىدىغان گېنىراتورنى كەشىپ قىلىشىغا سەۋەپ بولدى. گېنىراتور دەل ئېلىكتىر ماتورىنىڭ ئەكسى ئىدى، بىرى توك ئارقىلىق ئايلانسا، يەنە بىرى ئايلىنىشتىن توك چىقىراتتى…
شۇنداق قىلىپ، ئېلىكتىر بىلەن ماگنىت ئۇقۇمى ئۆز-ئارا گىرەلىشىپ كەتتى. كىشىلەر توك ئارقىلىق ماگنىت ھاسىل قىلدى، ماگنىتلادىن پايدىلىنىپ توك بەرپا قىلىدى. كىشىلەر گېنىراتوردىن توك پەايدا قىلىشنى بىلىۋالغاندىن كىيىن، توكنى لامپۇچكا يورىتىش ئۈچۈنلا قوللىنىپ قالماستىن نۇرغۇن تارماق ساھەلەر تەرەققىي قىلىپ چىقتى، ئېلىكتىرچىلىك راۋاجلاندى، توك بىلەن ھەرىكەتلىنىدىغان ماشىنىلار، زاۋۇت فابىرىكىلار مەيدانغا كەلدى. سىملىق تېلىفۇن ۋە تىلگىراف كەشىپ قىلىندى.
تېلگىرافنىڭ كەشىپ قىلىنىشى، ئېلىكتىر ۋە ماگنىتنىڭ يالغۇز ئۆتكۈزگۈچ توك سىملىرىدا ياكى جىسىم ئۆزىدىلا بولۇپ قالماستىن بوشلۇق، ھاۋادىمۇ تارقىلىدىغانلىقىدىن دىرەك بىرەتتى. ئېلىكتىر- ماگنىت دولقۇنى تارقىدىغان توك زەنجىرى ئانتېنا ياسالدى، ھەمدە ئېلىكتىر-ماگنىت قۇۋىتىنى ئېلىكتىر زەنجىرىدىن بوشلۇققا، بوشلۇقتىن ئېلىكتىر زەنجىرىگە يۆتكەش ئەمەلگە ئاشتى، ھەمدە رادىيو كەشىپ قىلىندى، كىيىنچە تېلھوزۇر كەشىپ قىلىندى، ھازىرقى زاماندا بولسا قول تېلفۇنلىرىنى كەڭ كۇشادە ئىشلەتمەكتىمىز،… مۇشۇلارنىڭ ھەممىسى ئېلىكتىر- ماگنىت دولقۇنلىرى بولۇپ، فىزىكا مەدەنىيەت تارىخىنىڭ تۆھپىسىدۇر!
ئۇنداقتا ئېلىكتىر-ماگنىت دولقۇنى قانداق شەكىللىنىدۇ ۋە قانداق تارقىلىدۇ؟ ئاددىي قىلىپ ئېيتقاندا ئېلىكتىر زەنجىرىدىكى ئېندوكسىيلىك ئۆزگۈرۈشچان توك، ئەتىراپىدا ئۆزگۈرۈشچان ماگنىت مەيدانى تارقىتىدۇ، بۇ ماگنىت مەيدانىمۇ ئۆزگۈرۈپ تۇرغانلىقتىن ئەتىراپىغا يەنە ئۆزگۈرۈشچان ئېلىكتىر مەيدانىنى ھاسىل قىلىدۇ، ۋە مۇشۇنداق زەنجىرسىمان ھالەتتە داۋام قىلىپ بوشلۇققا تارقىلىدۇ. ئوبرازلىق قىلىپ ئېىيتساق، پۇلاڭلاپ تۇرغان ئۇزۇن زەنجىرلەر بولسا، زەنجىرنىڭ بىرھالقىسى ئېلىكتىر مەيدانى، قۇشنا ھالقىسى ماگنىت مەيدانى، ئۇنىڭ قوشنىسى يەنە ماگنىت مەيدانى،… مانا مۇشۇنداق داۋام ئەتكەن نۇرغۇن زەنجىرلەرنىڭ بوشلۇقتا پۇلاڭلاپ تۇرىشىنى ئېلىكتىر- ماگنىت مەيدانى ياكى دولقۇنى دەپ تەسەۋۋۇر قىلساق بولىدۇ. كىينچە كۇۋانت ئۇقۇمىنى ئۆگەنگەندىن كىيىن بۇ پۇلاڭلاپ تۇرغان زەنجىر ھالقىللىرىنىڭ فوتونلار ئىكەنلىكىنى ئۆگىنىمىز…
1861-يىلدىن 1862- يىلغىچە ئارلىقتا ماكسىۋېل مۇشۇ يەرگىچە كەلگەن ئېلىكتىر- ماگنىت ھادىسلىرىنى نەزەرىيە جەھەتتىن يىغىنچاقلاپ ، ئېلىكتىر- ماگنىت قانۇنىيەتلىرىنىڭ ماتېماتىكىلىق ئىپادىسى ماكسىۋېل تەڭلىمىللىرىنى يېزىپ چىقتى. ماكسىۋېل تەڭلىمىللىرى تۆۋەندىكىلەردىن ئىبارەت:
ئېلىكتىر-ماگنىت دولقۇنلىرىنىڭ ۋاكومدا تارقىلىش تىزلىكىنىڭ نۇر تىزلىكى بويىنچە تارقىلىدىغانلىقى ھېساپلاپ چىقىلدى.
مۇشۇ يەرگە كەلگەندە ئېلىكتىر- ماگنىتىزىم بىلەن يورۇقلۇقنىڭ ماھىيەتتە بىر نەرسە ئىكەنلىكى كىشىلەرگە ئايدىڭ بولۇۇشقا باشلىدى. (يورۇقلۇق ھەققىدە كۆپ توختالمايمىز، يورۇقلۇق ھەققىدە چۈشەنچىگە ئىگە بولۇش ئۈچۈن نۇر دىگەن نىمە ؟ دىگەن يازمىغا قارالسۇن!) ئەمەلىيەتتە يورۇقلۇق بولسا مەلۇم تەۋرىنىش چاستوتىسى دائېرىسىدىكى ئېلىكتىر-ماگنىت دولقۇنلىرىدىن ئىبارەتتۇر. ئىنسان كۆزىگە رەڭگارەڭ بولۇپ كۆرۈنىدىغان ماددى دۇنيا قىزىل نۇردىن بىنەپشە نۇرغىچە بولغان دائېرىدىكى چاستوتىدىكى دولقۇنلارنىڭ كۆز ئارقىلىق مېڭىدە ئەكىس ئېتىشىدىن ئىبارەتتۇر…
يورۇقلۇقنى ئىلگىرى نىيوتۇن زەرىچىلەر قارىغان ئېدى. بىراق يورۇقلۇقنىڭ دىفىراكسىيە(يەنى يورۇقلۇقنىڭ توسالغۇلاردىن ھالقىپ ئۆتىشى) ۋە ئېنىتىرفىرىنسىيە(يەنى، چاستوتسى ئوخشاش ئىككى يورۇقلۇق مەنبەسىدىن تارقالغان نۇر تەسىرلىشىپ، يورۇق، خىرە ئىزلارنى شەكىللەندۈرىشى). شۇنداق بولغاچقا كىشىلەر يورۇقلۇقنى دولقۇن دەپ قارىدى. باشقا دولقۇنلارنىڭ تارقىلىشى ئۈچۈن چوقۇم بىر مۇھىت كىتەتتى. مەسىلەن، سۇ دولقۇنلىرى سۇدا تارقىلىدۇ، ئاۋاز دولقۇنلىرى ماددا ۋە ھاۋادا تارقىلىدۇ. ئەمسە يورۇقلۇق قانداق مۇھىتتا تارقىلىشى كىرەك؟
ئەينى ۋاقىتتا كىشىلەرether «ئېسېر» دىگەن مەۋھۇم ماددىنى تەسسەۋۋۇر قىلىپ چىققان بولۇپ، بۇ ماددا پۈتۈن ئالەمگە تارقالغان، نۇر مۇشۇ ماددا ئىچىدە تارقىلىدۇ دەپ قارىدى… فىزىكىدا، ھەرقانداق بىر نەزەرىيە ياكى تەسسەۋۋۇر ئوتتۇرىغا قويۇلسا ئۇنى چوقۇم ئىسپاتلاپ چىقىشقا توغرا كىلىدۇ. 1887-يىلى مايكېلسون ۋە مورلېي ئاتالمىش ئېسېرنىڭ مەۋجۇتلۇقىنى ئىسپاتلاش ئۈچۈن مەشھور بىر تەجىربە ئىشلىدى. تەجىربە يەرشارىنىڭ ئېسېر ماددىسىغا نىسپەتەن نىسپى ھەرىكىتىنى ئۆلچىمەكچى بولدى، لىكىن نەتىجىدە ئاتالمىش ئېسېرنىڭ مەۋجۇت ئەمەسلىكى ئىسپاتلاندى. ئېسېرنىڭ مەۋجۇت ئەمەسلىكى ئىسپاتلىغان ماتېماتىكىلىق پىرىنسىپ لورىنتىز ئالماشتۇرىشى ئىدى بولۇپ، بۇنىڭ تۈرتكىسىدە 1905-يىلى ئالبېرت ئېنىشتىيىن جىسىملار نۇر تىزلىكىگە يىقىن بىر تىزلىكتە ھەرىكەت قىلسا جىسىم ھەجىمى قورۇلۇپ، كىچىكلەش ۋە ماسسىسى چوڭىيىش يۈز بىرىدىغانلىقىنى ھېساپلاپ چىقىپ «تار مەنىدىكى نىسپىيلىك نەزەرىيىسى» نى ئوتتۇرىغا قويدى. نىسپىيلىك نەزەرىيىسى كىلاسسىك فىزىكىغا تامامەن ئوخشىمايدىغان نەزەرىيە بولۇپ، كىلاسسىك فىزىكىدا ماددىلارنىڭ ھەجىمى ۋە ماسسىسى ھەرىكەت جەرىيانىدا ئۆزگەرمەيدۇ، ئۆزگىرىشچان مىقتار پەقەت جىسىملارنىڭ تىزلىكى ۋە ئورۇنى؛ ئەكسىچە تارمەنىلىك نىسپىيلىك نەزەرىيسىدە جىسىملارنىڭ ئەڭ چوڭ تىزلىكى تۇراقلىق بولۇپ، بۇ تۇراقلىق تىزلىككە يەتكەنسىرى ماسسا چوڭىيىپ كىتەتتى. بۇنىڭ نەتىجىسدە ماددىلارنىڭ «تىنىچ ماسسىسى» دىگەن ئۇقۇم ئوتتۇرىغا چىقتى ۋە ئېنىشتىيىن تەرىپىدىن داڭلىق «ماسسا-ئېنىرگىيە تەڭلىمىسى» ئوتتۇرىغا قويۇلدى. مۇشۇ، تەڭلىمە دەل يادىرو بومبىسىنىڭ مەيدانغا كىلىشىگە سەۋەپ بولغان ئىدى.
نىسپىيلىك نەزەرىيىسىمۇ كۇۋانت نەزەرىيىسى بىلەن تەڭ دىگۈدەك ئوتتۇرىغا چىققان يېپيىڭى بىر نەزەرىيە بولۇپ، پەن-تېخنىكىنىڭ تەرەققىياتى كىلاسسىك فىزىكا نەزەرىيەلىرىنىڭ كەمچىللىكلىرىنى ئوتتۇرىغا چىقىرىۋاتاتقان شۇنداق بىر مەزگىلدە ئوتتۇرىغا چىقتى. نىسپىيلىك نەزەرىيسى ناھايىتى ئابىستىراكىت ۋە كەڭ مەزمۇننى ئۆز ئىچىگە ئالىدۇ، بەلكى ئۇنىڭ ھەققىدە يەنە بىر سۈرە ئۇزۇن ھىكايىلەرنى ئاڭلىشىمىزغا توغرا كىلىدۇ!
قىسقىچە يىغىنچاقلىساق، كىلاسسىك فىزىكا تەجىربىلەر ۋە پەلسەپىيىۋى پىكىرلەرنىڭ نەتىجىىدە زەنجىرسىمان ھالدا تەرەققىي قىلىپ، مۇشۇ ھالەتكە كەلدى. كىشىلەرنىڭ ماھىيەت ھەققىدىكى ئويلىنىش ۋە ئىزدىنىشلىرى، تەبىئەت پەلسەپىسىنى شۇنداق ئەنئەنىگە ئېگە قىلدىكى، ئويلانغانسىرى تېخىمۇ كۆپ يېڭىلىقلار ئوتتۇرىغا چىقىپ تۇردى، ئويلىنىش ۋە ئىزدىنىش يولىدىكى تىرىشچانلىقلار يېڭى- يېڭى تېخنىكىلارنى مەيدانغا كەلتۈرۈپ تۇردى، ھەمدە شۇنىڭ تۈرىتكىسىدە ئىنسانلار ھاياتىدا ئالەمشۇمۇل ئۆزگۈرۈشلەر مەيدانغا كەلدى، تېخنىكا تەرەققىياتى سانائەت دەۋرى، ئېلىكتىر دەۋرى، ئاتوم دەۋرى ۋە ئۇچۇر دەۋرىدىن ھالقىپ ئۆتۈپ مانا ھازىرقى كۇۋانت دەۋرىگە قەدەم يولغىلى خېلى زامان بولدى. بۈگۈنكى ئۇچۇر يېڭىلىقلىرى شىددەت بىلەن ئارتىپ تۇرىۋاتقان، سىكونتىغا يېڭى-يىڭى تېخنىكىلار مەيدانغا كىلىۋاتقان مۇشۇنداق بىر كۈندە، دۇنيانىڭ ھەرقانداق بىر يېرىدىكى ھەرقانداق تەجىربىخانا ۋە تەتقىقات ئورۇنلىرىدا تەتقىق قىلىنىۋاتقان تۈرلۈك تۈمەن پەن-تېخنىكا تەتقىقاتلىرى پايدىلانماي تۇرالمايدىغان نەزەرىيە كۇۋانت ئۇقۇمىنى ھازىرقى زامان تېخنىكا مۇسابىقىسى دەۋرىدە بىلىپ قويۇشقا تېگىشلىك! ھېچبولمىغاندا «كۇۋانت دىگەن نىمە؟» دىگەن سۇئالغا بىر ئېغىز گەپ بىلەن جاۋاپ بىرەلىسەك، زاماننىڭ كەينىدە قالمىغان ساۋاتلىق ئادەم ھېساپلىنىمىز! ( بىر ئاز ئاشۇرىۋەتكەن بولىشىم مۇمكىن، ئەمەلىيەتتە كۇۋانت نەزەرىيسىنى بىلمەيدىغانلارمۇ نۇرغۇن، ھەم پەن-تېخنىكىنىڭ ھەممە ساھەسىگە تەڭ ئىشلىتىلمەيدۇ، لىكىن ھازىرقى تېخنىكا يۈزلىنىشىدە كۇۋانت نەزەرىيىسى كەم بولسا بولمايدۇ. نۇرغۇن كىشىلەر كۇۋانت نەزەرىيەسىنىڭ دۇنيانى يەنە بىر قېتىم ئۈزۈل- كىسىل ئۆزگەرتىۋېتىشىگە ئىشىنىپ، تەتقىقاتىنى داۋام قىلماقتا… ئەگەر ئۇلار ئىشەنگەن كۇۋانت كومپىيوتىرى مەيدانغا كىلىپ قالسا، تەرەققىياتنى تەسەۋۋۇر قىلالمايسىز، ھازىرقى كومپۇتېرلىرىڭىز، ھېچنىمىگە ئىشلىمەيدىغان ئەسكى داسقا ئايلىنىڭ قېلىشى مۇمكىن! )
كۇۋانت ئۇقۇمىنىڭ ئوتتۇرىغا چىقىشى
يۇقىرىدا بىز ماسسا ۋە زەرەتنى ئاساس قىلىپ تۇرۇپ كىلاسسىك فىزىكىدىكى (ماسسىغا ئىگە بولغان) جىسىملارنىڭ قانۇنىيەتلىرىنىڭ نىيوتۇن قانۇنلىرى ۋە ئىسسىقلىق سىتاتىستىكا قانۇنلىرىغا يىغىنچاقلانغانلىقىنى؛ يەنە بىرى زەرەتكە ئىگە جىسىملارنىڭ فىزىكىلىق قانۇنىيەتلىرىنىڭ پۈتۈنلەي ماكسىۋېل تەڭلىمىلىرىگە يىغىنچاقلانغانلىقىنى بايان قىلىپ ئۆتتۇق. تېمپۇراتۇرىنىڭ بىرلىكىگە نامى بىرىلگەنكىلىۋىن شۇنداق دىگەن ئىكەن: «فىزىكىدا يېڭىدىن بايقالغۇدەك ھېچنىمە قالمىدى، ئەمدى قىلىدىغىنىمىز پەقەتلا ئەڭ توغرا شەكىلدە ئۆلچەش». دىمەك ئەينى ۋاقىتتىكى كىشىلەرنىڭ قارىشىچە، فىزىكا نەزەرىيە جەھەتتىن تاماملانغان بولۇپ، بارلىق مەسىللەرنى نىيوتۇن ۋە ماكسىۋېل ھەل قىلىپ بولدى، بىزنىڭ ئىشىمىز ئۇلارنىڭكىنى مۇكەممەللەشتۈرۈش ۋە بېيىتىش دەپ قاراشقان ئىدى. لىكىن، شۇ زامانلاردا كەينى كەينىدىن ئوتتۇرىغا چىققان تەجىربە نەتىجىلىرى بىلەن كىلاسسىك نەزەرىيىۋى ھىساپلاشلار ئوتتۇرىسىدا پەيدا بولۇشقا باشلىغان ھاڭ ئالىملارنىڭ بېشىنى قاتۇرۇشقا باشلىدىغان ئىدى. 19- ئەسىرنىڭ ئاخىرى، ئالدىنقى ئەسىرنىڭ باشلىرىدا ئوتتۇرىغا چىققان ئاساسلىق ئۈچ مەسىلە كىلاسسىك فىزىكا ھەل قىلالمايۋتقان مەسسىلەر ئىدى. ئۇلار:
- قارا جىسىم رادىياتسىيسى
- فوتو-ئېلىكتىر ئېففىكتى
- ئاتوم تۇراقلىق مەسىلىسى
بىز بۇلارنى ئايرىم-ئايرىم چۈشەندۈرۈپ ئۆتىمىز.
قارا جىسىم رادىياتسىيسى
بۇندىن بىر يىرىم ئەسىردىن كۆپىرەك يىللار ئىلگىرى كىشىلەر جىسىملارنىڭ تارقاتقان رادىياتسىيە سىپىكتىر ئانالىزى ئارقىلىق جىسىم تېمپۇراتۇرىسىنى يىراقتىن ئۆلچەشنىڭ ئۇسۇلى ھەققىدە ئىزدىنىۋاتاتتى. مەسىلەن، قوياشتىن كەلگەن رادىياتسىيە سىپىكتىر ئانالىزى ئارقىلىق قوياش يۈزىنىڭ تىمپۇراتۇرىسنى ئۆلچىگىلى بولىشى مۇمكىن ئىدى. سىپىكتىر ئانالىزى دىگىنىمىز، ئوخشىمىغان جىسىملارتارقاتقان رادىياتسىيە ئۆزىگە خاس چاستوتىدىكى (يەنى رەڭدىكى) رادىياتسىيەنى سۈمۈرۈپ، نۇر سېزىمچان پىلاكاتقا (تال-تال) ئىزلارنى قالدۇرىدۇ.(تاللا بازارلىرىدىن نەرسە سېتىۋالغاندا مالنىڭ نۇمۇرى ۋە باھاسى چۈشۈرۈلگەن تال-تال سىزىقچىلارنى كۆرىمىز.
پىلاكاتقا چۈشۈرۈلگەن سىپىكتېرئىزلىرى شۇنىڭغا ئوخشاش شەكىلدە) مۇشۇ ئىزلارغا ئاساسەن رادىياتسىيە تارقاتقۇچىنىڭ تەركىبىنى ئېنىقلىغىلى بولىدۇ. شۇ ۋاقىتتا كىشىلەر قوياش سىپىكتىرىنى ئانالىز قىلىشقا باشلىغان ئىدى…
قوياش يەز يۈزىگە توختىماي ئىسسىقلىق ۋە يورۇقلۇق چۈشۈرۈپ تۇرىدۇ، چوغدەك قىزدۇرۇلغان تۆمۈرمۇ ئەتىراپىغا ئىسسىقلىق ۋە يورۇقلۇق تارقىتىدۇ. دىققەت قىلغان بولىشىمىز مۇمكىن، تۆمۈرقىزدۇرۇلۇش جەريانىدا بارا-بارا قارامتۇل قىزىل رەڭگە كېلىدۇ، ئاندىن قىزىل، سېرىق ۋە ئاخىرىدا كۆك رەڭگە كىلىدۇ. بۇ ئۇنىڭ تارقاتقان رادىياتسىيە دولقۇن چاستوتىسىنىڭ تېمپۇراتۇرىسى بىلەن مۇناسىۋەتلىك ئىكەنلىكىنى چۈشەندۈرۈپ بىرىدۇ. تۆمۈرگە ئوخشاش قىزدۇرۇلغان باشقا جىسىملارنىڭ تارقاتقان رادىياتسىيە چاستوتىسى، (يەنى چوغ بولۇپ قىززىغاندىكى رەڭگى) ئارقىلىق ئۇنىڭ تېمپۇراتۇرىسىغا ھۆكۈم قىلغىلى بولىدىغانلىقىدىن دىرەك بىرەتتى، قوياش يۈزىنىڭ تېمپۇراتۇرىسىنىمۇ مۇشۇ ئۇسۇل بىلەن ئۆلچەش مۇمكىن ئىدى.
مۇشۇ خىل ئىزدىنىشلەر نەتىجىسىدە كىشىلەر رادىياتسىيەنى ئەڭ ياخشى شەكىلدە تارقاتقۇچى جىسىمنىڭ ئۆز نۆۋىتىدە رادىياتسىيەنى ئەڭ ياخشى شەكىلدە سۈمۈرىۋالغۇچى بولىدىغانلىقىنى بايقىدى. جىسىملارغا رادىياتسىيە چۈشكەندە بىر قىسمى سۈمۈرىۋېلىنسىمۇ كۆپ قىسمى قايتۇرىۋېتىلىدۇ. جسىمىلاردىن قايتقان رادىياتسىيە نەتىجىسىدە ئەتىراپ رەڭگارەڭ بولۇپ كۆرۈنىدۇ(«نۇر دىگەن نىمە؟» گە قارالسۇن). ئەگەر جىسىم چۈشكەن نۇرلارنىڭ ھەممىنى سۈمىرىۋالسا جسىم بىزگە قارا بولۇپ كۆرۈنىدۇ. شۇڭا كىشىلەرئاتالمىش قارا جىسىم ھەققىدىكى تەتقىقاتىنى باشلىغان ئىدى.
بۇ يەردە دىيىلگەن قاراجىسىم ئۆزىگە چۈشكەن رادىياتسىيە دولقۇنىنى مۇتلىق يۇتىۋالىدىغان جىسىمنى كۆرسىتىدۇ. ئەمەلىيەتتە جىسىملارغا رادىياتسىيە چۈشكەندە بىر قىسمى جىسىم تەرىپىدىن يۇتىۋېلىنسىمۇ، بىرقىسمى قايتۇرىۋېتىلىدۇ، يەنى پۈتۈنلەي رادىياتسىيە دولقۇنىنى يۇتىۋالىدىغان جىىسىم بىر غايىۋى جىسىمدىن ئىبارەت. بىر تال كىچىك تۆشۈك ئېچىلغان ئىسسىقلىق ئۆتكۈزمەس ئىچى كاۋاك بىر كومزەك بار دىسەك، كومزەكتىن ئېچىلغان كىچىك تۆشۈكتىن بىردانە فوتون كىرگۈزۈلسە، كومزەكنىڭ ئىچكى يۈزىدە چەكسىز كۆپ قېتىم قايتقان نۇرنىڭ تۆشكتىن چىقىپ كىتىش ئېھتىماللىقى ناھايىتى تۆۋەن بولۇپ ، مۇشۇنداق بىر جىسىمنى بىز قارا جسىم دىسەك بولىدۇ.
1859- يىلى گوستاۋ كىرىخوف قارا جىسىم رادىياتسىيەلىگەن ئېنىرگىيەنىڭ تېمپۇراتۇرا ۋە رادىياتسىيە چاستوتىسىغا ئوڭ تاناسىپ بولىدىغانلىقىنى ئوتتۇرىغا قويدى.
كىيىن سىتىفىن قىزدۇرۇلغان جىسىمنىڭ رادىياتسىيەسىنىڭ جىسىم تىمپىراتۇرىسىنىڭ تۆتىنجى دەرىجىسىگە ئوڭ تاناسىپ بولىدىغانلىقىنى ھىساپلاپ چىقتى، قارا جىسىمدىن چىققان رادىياتسىيەگە نىسبەتەن ئوخشاش نەتىجە ۋە بولتىزمەن تەرىپىدىن ماكسىۋېل قانۇنلىرى ۋە كىلاسسىك سىتاتىستىكا قانۇنلىرىدىن پايدىلىنىپ ھېساپلاپ چىقىرىلدى ھەمدە سىتىفىن-بولتزمەن قانۇنى دەپ ئاتالدى.
تەجىربە سانلىق مەلۇماتلىرى ئارقىلىق قارا جىسىم تارقاتقان رادىياتسىيەنىڭ ئېنىرگىيە- چاستوتا گىرافىكىنى سىزىشقا بولىدۇ. رەسىمدە كۆرسىتىلگەندەك، جىسىم تىمپىراتۇرىسى ئارتقانچە تار دائىرىدىكى چاستوتا بەلبېغىدا رۇشەن چوققا شەكىللىنىدۇ. بۇ جىسىم تارقانقان رادىياتسىيە كۈچىنىشىنىڭ جىسىمنىڭ تىمپىراتۇرىسى ۋە رادىياتسىيە چاستوتىسىغا باغلىق بولىدىغانلىقىنى كۆرسىتىدۇ. ئەمدى نەزەرىيە جەھەتتىن بۇنىڭغا ماس كىلىدىغان ماتىېماتىكىلىق فورمۇلىنى يېزىپ چىقىشقا توغرا كىلىدۇ. بۇ فورمىلاغا ئاساسەن ئۇنىڭ گىرافىكىنى ھەم سىزىشقا بولىدۇ، ئەگەر ئىككى گىرافىك ماس كەلسە نەزەرىيە توغرا بولغان بولىدۇ. كىلاسسىك قانۇنلارغا كۆرە ئېنىرگىيە- چاستوتا مۇناسىۋېتىنى ھىساپلاپ چىقىش مۇمكىن ئىدى، لىكىن ھىساپلاپ چىقىلغان نەزەرىيە بىردە يۇقىرى چاستوتا رايۇنىدا (ۋېيىن) ماس كەلمىسە ، بىردە تۆۋەن چاستوتا رايۇنىدا(رەيلى-جېنىس) ماس كەلمەيتتى، تەجىربە نەتىجىسىگە ماس كىلىدىغان نەزەرىيە سىر ھالىتىدە داۋام قىلىۋاتاتتى.
1900- يىلىغا كەلگەندەماكىس پىلانىك يېڭى بىر ئۇقۇم «كۇۋانتا» ئۇقۇمىنى ئوتتۇرىغا قويدى. كۇانت «مىقتارچە» دىگەن مەنىنى بىلدۈرىدىغان سۆزدىن ئىبارەت بولۇپ، ئېنىرگىيە ئەڭ كىچىك ئېنىرگىيە مىقتارچىسىنىڭ پۈتۈن سانلىق ھەسسىگە تەڭ. بۇ ئەڭ كىچىك ئېنىرگىيە مىقتارچىسى رادىياتسىيە چاستوتىسىغا ئوڭ تاناسىپ بولۇپ، مەلۇم تۇراقلىق ساننى بۇ چاستوتا قىممىتىگە كۆپەيتسەك بۇئېنىرگىيە مىقتارچىسىغا ئېرىشىمىز، بۇ تۇراقلىق سان پىلانىك تۇراقلىقى دىن ئىبارەت…
كۇۋانت ئۇقۇمى ئوتتۇرىغا قويۇلغاندىن كىيىن نەزەرىيەۋى ھىساپلاش نەتىجىسى تەجىربە نەتىجىسىگە مۆۋجىزىلىك ھالدا تامامەن ماس كەلدى.(رەسىمگە قارالسۇن).
فوتو- ئېلىكتىر ئېففىكتى
1905- يىلىغا كەلگەندە ئېنىشتىيىن فوتو- ئېلىكتىر ئېففىكتىنى («نۇر دىگەن نىمە ؟» گە قارالسۇن)كۇۋانت نەزە رىيەسىنى قوللىنىپ مۇۋاپىقىيەتلىك چۈشەندۈرۈپ بەردى. نۇرئېنىرگىيەگە ئىگە بولغانلىقى ئۈچۈن مىتاللارغا، مەسىلەن ئەڭ ئاكتىپ بولغان ئالتۇن ياپراقچىسىغا ئېلىكتىر-ماگنىت رادىياتسىيسي چۈشۈرۈلگەندە ئۇنىڭدىن بەلگىلىك ئېلىكترونلارنى قومۇرۇپ چىقىش ھادىسسى فوتو- ئېلىكتىر ئېففىكتى دەپ ئاتىلىدۇ.
رەسىمدە كۆرسۈتۈلگەندەك مىتال ياپراقچىنى توك ئۆلچىگۈچ ئامپىرمېتىر بىلەن زەنجىرلەپ ئۇنىڭغا نۇر چۈشۈرگەندە زەنجىردىن توك ئۆتكەنلىكى بايقىلىدۇ. لىكىن كىشىلەرنىڭ نەزىرىدە مىتالغا نۇر قانچە ئۇزۇن چۈشۈرۈلسە قانچە كۈچلۈك چۈشۈرۈلسە قومۇرۇلغان ئېلىكترونلارمۇ شۇنچە كۆپ بولاتتى. ھالبۇكى، بۇنىڭ ئەكسىچە قومۇرۇلغان ئېلىكترونلار نۇر چۈشكەن ۋاقىت ۋە نۇرنىڭ كۈچلۈكلىكىگە مۇناسىۋەتسىز بولۇپ چىقتى، پەقەت نۇرنىڭ چاستوتىسىنى ئۆزگەرتىپ ئولتۇرا بىنەپشە رايىنىغا كەلگەندە فوتو-ئېلىكترونلارنىڭ چىقىشقا باشلىغانلىقى بايقالدى. بۇ شۇنى چۈشەندۈرەتتىكى، رادىياتسىيەنىڭ ئېنىرگىيەسى رادىياتسىيە چاستوتىسىغا باغلىق ئىدى. بۇ پىلانىك ئوتتۇرىغا قويغان پەرەزگە، يەنى ئېنىرگىيەنىڭ چاستوتىغا باغلىقلىقىغا تامامەن ئۇيغۇن كەلگەن ئىدى. شۇنىڭ بىلەن ئېنىشتىيىن نۇر-كۇۋانتا دىگەن ئۇقۇمنى ئوتتۇرىغا قويۇپ، پىلانىكنىڭ نەزەرىيىسىنى تەستىقلىدى. لىكىن، چاستوتىغا باغلىق ئېنىرگىيە مىقتارچىسى ۋە پىلانىك تۇراقلىقى تەجىربىدە ئېنىق ئىسپاتلىنىپ چىقىشى كىرەك ئىدى.
1915- يىلغا كەلگەندە بۇ تەجىربە مىللىكان تەرىپىدىن ئىشلىنىپ، ناھايىتى توغرا ھالدا پىلانىك تۇراقلىقى ئۆلچەپ چىقىلدى. شۇنىڭ بىلەن كۇۋانت ئۇقۇمىنىڭ توغرىلىقى تەجىربىدە ئىسپاتلانغان بولدى. شۇنىڭ ئۈچۈن 1921-يىلى ئېنىشتىيىن، 1923-يىلى مىلىكان نوبىل فىزىكا مۇكاپاتىنىڭ ساھىبىلىرى بولدى.
ئۇنىڭدىن باشقا قاتتىق جىسىملارنىڭ ئىسسىقلىق سىغىمى مەسىلىسىمۇ ئەينى ۋاقىتتىكى كىلاسسىك فىزىكا نەزەرىيەسى چۈشەندۈرەلمىگەن مەسىللەرنىڭ بىرى بولۇپ، كۇۋانت ئۇقۇمى بويىنچە چۈشەندۈرۈلگەن دىبەي مودېلى بۇ مەسىلىنىمۇ ئوڭۇشلۇق ھالدا چۈشەندۈرۈپ بەردى. مۇشۇ پاكىتلار بىلەن كۇۋانت ئۇقۇمىنىڭ ئوتتۇرىغا قويۇلىشى فىزىكا ساھەسىدە يېڭى بىر سەھىپە ئېچىلغانلىقىدىن دىرەك بىرىۋاتاتتى…
بور مودىلى
شۇنداق بولغاچقا، ئېلىكترون يادرو ئەتىراپىدا ئايلىنىش جەرىيانىدا ئۇنىڭ ئېنىرگىيەسى بار-بارا خوراپ، ئوربىتىسى كىچىكلەپ يادروغا چۈشۈپ كىتىشى كىرەك ئىدى، بۇنىڭ تەتىجىسىدە ئاتوملار تۇراقلىق بولمابىز ئاتوملار ھەققىدە سۆزلىگەندە 1911-يىلى رۇزىرفۇرد تەجىربىسى ئارقىلىق ئاتومنىڭ ئېلىكترون ۋە ئاتوم يادروسىدىن تۈزىلىشىنى بايقىغانلىقىنى، ئېلىكترونلارنىڭ بولسا يادرو سىرتىدىكى بوشلۇقتا «ئايلانما» ھەرىكەت قىلىدىغانلىقىنى پەرە قىلغانلىقىنى ئۆگىنىپ ئۆتكەن ئىدۇق(«تەبىئەت پەلسەپىسىدە ماددى مەۋجۇتلۇقنىڭ سىرى» دىگەن يازمىغا قارالسۇن). لىكىن بۇ ئايلانما ھەرىكەت كىلاسسىك ئېلىكتىر- ماگنىت نەزەرىيەلىرىگە كۆرە ئۇزۇن داۋاملىشالمايتتى، يەنى ئېلىكترون ئايلانما ھەرىكەت قىلغاچقا ئەتىراپىغا رادىياتسىيە تارقىتاتتى، چۈنكى زەرەتلىك زەرىچە ھەرىكەت ھالىتىنى ئۆزگەرتسە فوتون قويۇپ بېرىشى كىرەك ئىدى.
شۇنداق بولغاچقا، ئېلىكترون يادرو ئەتىراپىدا ئايلىنىش جەرىيانىدا ئۇنىڭ ئېنىرگىيەسى بار-بارا خوراپ، ئوربىتىسى كىچىكلەپ يادروغا چۈشۈپ كىتىشى كىرەك ئىدى، بۇنىڭ تەتىجىسىدە ئاتوملار تۇراقلىق بولماي قالاتتى….
ئەمەلىيەتتە كۆپىنچە ئاتوملار ناھايىتى تۇراقلىق بولۇپ، ئېلىكتروننىڭ «چۈشۈپ كىتىشى» مۇمكىن ئەمەس ئىدى.
مۇشۇ سەۋەپ بىلەن 1912-يىلى نايلىز بور ھىدروگىن ئاتومىنىڭ بور مودىلىنى ئوتتۇرىغا قويدى. ھەمدە كۇۋانت ئۇقۇمىدىن پايدىلىنىپ ئاتوملارنىڭ تۇراقلىق بولۇش مەسىلىسىنى ھەل قىلدى! بور مودىلىنى قىسقىچە تۆۋەندىكى ئۈچ نوختىغا يىنچاقلاشقا بولىدۇ:
- ئاتوملارنىڭ پەقەت ئۈزۈك-ئۈزۈك تۇراقلىق ئېنىرگىيە ھالەتلىرى مەۋجۇت بولۇپ (يەنى بۇ ئېنىرگىيە ھالەتلىرى كۇۋانتلاشقان بولۇپ)، بۇ تۇراقلىق ھالەتلەردە ئاتوم ھېچقانداق ئېنىرگىيە قوبۇل قىلمىغان بولىدۇ، ھەم ئېنىرگىيە رادىياتسىيەلىمەيدۇ؛
- رادىياتسىيە قوبۇل قىلىش ۋە چىقىرىش نەتىجىسىدىكى ئاتوم ئېنىرگىيە ھالىتىنىڭ ئۆزگۈرىشى پەقەت ۋە پەقەت ئىككى مۇقىم ھالەتنىڭ ئارىسسىدىكى ئۆتۈشۈش ھالىتىدە بولىدۇ؛
- ئاتوم قوبۇل قىلغان ياكى رادىياتسىيەلىگەن ئېنىرگىيە مىقتارچىسى ئېلىكتروننىڭ ئىككى كۇۋانت ھالەتنىڭ ئايرىمىسىغا تەڭ بولىدۇ.
قىسقىچە يىغىنچاقلىساق، كۇۋانت ئۇقۇمى كىلاسسىك نەزەرىيەلەر ھەل قىلالمىغان قارا جىسىم رادىياتسىيسى، فوتو-ئېلىكىتىر ئىففىكتى ۋە ئاتوملارنىڭ تۇراقلىق تۈزۈلۈش مەسىلىللىرىنى ئوڭۇشلۇق ھەل قىلىپ، كىلاسسىك فىزىكىدىكى «زامان-ماكان نىڭ ئۈزلۈكسىز بولۇشى» دىگەن پەلسەپىسىگە جەڭ ئېلان قىلدى!
كۇۋانت دۇنياسىدىكى قىزىقارلىق ھادىسىلەر
ئېلىكتروننىڭ قوش يوچۇق تەجىربىسى
ئالدى بىلەن مۇنداق بىر تەجىربە ئىشلەپ باقايلى:
قولىمىزدا بىر تال ئاپتومات بولۇپ، بىزدىن مەلۇم ئارلىقتا بىر توسۇق بار. توسۇقتىن پەقەت ئوق ئارانلا ئۆتەلىگۈدەك بىر-بىرگە يىقىن ئىككى تۆشۈك ئېچىلغان، توسۇقنىڭ ئارقىسىدا بولسا يەنە بىر تاختا قويۇلغان بولۇپ، ئىككى تۆشۈكتىن ئۆتەلىگەن ئوقلار كەينىدىكى تاختىدا ئوق ئىزلىرىنى قالدۇرىدۇ.
قۇرال ئىشلىتىپ باقمىغان بىرى ئالدىدىكى تاختىغا قارىتىپ قالايمىغان ئوق چىقارسۇن. ئوقلار ئىككى تۆشۈكنىڭ خالىغان بىرىدىن تەخمىنەن ھالدا ئۆتۈپ كەينىدىكى تاختىدا ئوق ئىزلىرىنى قالدۇرىدۇ. ئەمدى، «بىرىنچى تۆشۈكتىن ئۆتكەن ئوقلار بىلەن ئىككىنچى تۆشۈكتىن ئۆتكەن ئوقلاردىن قايسسى كۆپ؟» دەپ سورالغاندا ئېھتىماللىق نەزەرىيسى بويىنچە ئىككى تۆشۈكتىن ئۆتكەن ئوقلارنىڭ سانى تەڭ بولۇپ، ئارقا تاختىدا ئىككى تۆشۈكنىڭ ئۇدۇلىدىكى دائىرىگە زىچ، ئەتىراپىغا شالاڭ ئىز قالدۇرغانلىقىنى كۆرىمىز، رەسىمدە كۆرسىتىلگەندەك.
بۇنداق نەتىجىنىڭ بولىشى ئەقىلگە مۇۋاپىق ۋە ئاسان چۈشەنگىلى بولىدۇ. ئوقلار تۆشۈكنىڭ بىرىدىن دەلمۇ-دەل ئۆتكەندە ئۇدۇل بېرىپ تاختىغا سوقۇلىدۇ، لىكىن ئوقلار دەل ئۆتمەستىن تۆشۈك گىرۋەكلىرىدىن قېيىپ، سەل چېچىلىش ھاسىل قىلىپ تاختىغا سوقىلىدۇ. دىمەك، ئومۇمەن ئوق ئىزلىرى تۆشۈك ئۇدۇللىرى ئەتىراپىدىكى بىر دائىرىگە تارقالغان بولىدۇ، .
ئەمدى ئوقلارنى كىچىكلىتىپ ئېلىكترون ھالىتىگە كەلتۈرەيلى ھەمدە بىزنىڭ ئاتوم چوڭلۇقىدىكى ئېلىكترون مىلتىقىمىز بولسۇن. بىزمۇ ئاتوم ئۆلچىمىدە كىچىكلىگەن بولايلى. ئەمدى، ئېلىكترون مىلتىقلىرىدىن ئىككى تۆشۈك ئېچىلغان توسۇققا قارىتىپ «ئوق» چىقىرايلى. ھەيران قالارلىق پاكىت شۇكى، بۇ قېتىم تاختىدىكى ئېلىكترون ئىزلىرى ئوق ئىزلىرىغا ئوخشاش بولماستىن خۇددى نۇر قوش يوچۇقتىن ئۆتكەندە كەينىدىكى تاختىدا قالدۇرغان ئىنتىرفىرىنسىيە ئىزلىرىغا ئوخشاش («نۇر دىگەن نىمە ؟» گە قارالسۇن) ئىزلارنىڭ شەكىللەنگەنلىكىنى بايقايمىز. بۇ زادى قانداق گەپ؟ ئېلىكترون بىر تال زەرىچە تۇرسا قانداقسىگە ئېلىكتىر- ماگنىت دولقۇنلىرى(نۇر)غا ئوخشاش ئىنتىرفىرىنسىيە ھادىىسىسى يۈز بەرسۇن؟!
ئەمدى، ئېلىكترونلارنى «ئاپتۇمات» بىلەن ئاتماستىن، «تاپانجا» بىلەن بىردىن- بىردىن ئاتايلى. مۇشۇنداق قارىغا ئېتىش ئويۇنى ئويناپ، ئوقلىرىمىز تۈگكەندىن كىيىن توسۇق كەينىگە ئۆتۈپ، تاختىغا قاراپ باقساق، ئىزلارنىڭ يەنىلا ئاۋالقىغا ئوخشاش ئىنتىرفىرىنسىيە ئىزلىرى قالدۇرغانلىقىنى كۆرىمىز. بۇنى قانداق چۈشەندۈرۈش كىرەك؟ ھەربىر قېتىمدا تاپانچا بىلەن ئېتىلغان ئېلىكتروننىڭ زادى قايسى تۆشۈكتىن ئۆتىدىغانلىقىنى كۆزىتىش ئۈچۈن ناھايىتى سەزگۈر بىر «سىن ئالغۇچ ئاپارات» نى توسۇقنىڭ ئالدىغا قويۇپ قويايلى ھەمدە تەجىربىدىن كىيىن ئوقنىڭ تۆشۈكتىن ئۆتىۋاتقان ھالىتىدىكى سىنىنى ئاستىلىتىپ كۆرۈپ باقايلى.
نەتىجە شۇكى، قانچە دىققەت بىلەن قارىساقمۇ ئېلىكتروننىڭ قايسى تۆشۈكتىن ئۆتكەنلىكىنى بىلەلمەيمىز، ئېلىكترونلار خۇددى بىزنىڭ غەرىزىمىزنى بىلىۋالغاندەك، كۆزىمىزنى غەلەت قىلىپلا توسۇق كەينىگە ئۆتۈپ كىتىدۇ. بۇنى پەقەت كۇۋانتۇم فىزىكىسىنىڭ ئېھتىماللىق پىرىنسىپى بىلەن چۈشەندۈرگىلى بولىدۇ.
شرۆدىڭگىر مۈشۈكى
يەنە بىر ناھايىتى قىزىقارلىق ھىكايە بار. بىر دانە ھىم ساندۇق، رادىئوئاكتىپ ماددا، رادىئوئاكتىپ ئۆلچىگۈچ، زەھەرلىك گاز قاچىلىنىپ، بىرتال يىپقا ئېسىلغان بوتۇلكا ۋە بىرساغلام مۆشۈك تەييارلايلى. رادىئوئاكتىپ ماددىنىڭ يىمىرىلىش ئېھتىماللىقى 50:50 بولۇپ، ئەگەر يىمىرىلسە يىپ ئۈزۈلۈپ، بوتۇلكا چېقىلىدۇ،-دە زەھەر مۆشۈكنى ئۆلتۈرىدۇ. ئەگەر يىمىرىلمىسە، مۆشۈك زەھەرلەنمىگەنلىكى ئۈچۈن تىرىك ھالەتتە تۇرىدۇ. لىكىن بىز ساندۇقنىڭ سىرتىدا تۇرۇپ مۆشۈكنىڭ زادى ئۆلۈك ياكى تىرىكلىكىنى بىلەلمىگەنلىكىمىز ئۈچۈن، ئېھتىماللىقنىڭ قاتلىنىش پىرىنسىپى بويىنچە ساندۇق ئىچىدىكى مۆشۈك ئۆلۈك ۋە تىرىكنىڭ ئارىسىدىكى بىر ھالەتتە تۇرىدۇ. ماتېماتىكا بويىنچە بۇنى چۈشەنگىلى بولسىمۇ رىياللىقتا مۆشۈكنىڭ ئۆلۈك تىرىكنىڭ ئارلىقىدىكى ھالەتتە تۇرىشى كىشىنى ھەيران قالدۇرىدۇ. بىز مۆشۈكنىڭ ئۆلۈك تىرىكلىكىنى پەقەت ساندۇقنى ئېچىپ قاراپ باققاندىلا بىلەلەيمىز، بولمىسا ساندۇقنىڭ ئىچىدىكى بىچارە مۆشۈك يا ئۆلۈك ئەمەس، يا تىرىك ئەمەس ئىككى ھالەتنىڭ ئوتتۇرىسىدىكى ھالەتتە تۇرىدۇ. بۇ ھەرگىز مۆشۈكنىڭ يېرىمجان ھالەتتە تۇرۇشىنى كۆرسەتمەيدۇ، بەلكى كۇۋانت پىرىنسىپى بويىنچە ياكى ئۆلۈك، ياكى تىرىك ۋە ياكى ئۆلۈك ۋە تىرىكنىڭ بىرلەشمىسى بولىدۇ.
شىۆدىڭگىر ئەينى ۋاقىتتا بۇنى ئۆزىنىڭمۇ ياختۇرمايدىغانلىقىن بايان قىلىپ، مەسىلىنىڭ ئەقىلگە مۇۋاپىق چۈشەندۈرۈلىشىنى كەلگۈسىدىكى پىكىر قىلغۇچىلارغا قالدۇرغان ئىكەن.
تونېل ئېففىكتى
رىيال دۇنيادا بىرجىسىم ئۆز ئېنىرگىيەسىدىن يۇقىرى ئېنىرگىيە توسۇقىدىن ھالقىپ ئۆتەلمەيدۇ. مەسىلەن، قازاننىڭ بىر بۇرجىكىدىن بىر تال مەرمەر توپنى قويىۋەتسەك ھەرقانچە قىلىپمۇ قازاننىڭ قارشى بۇرجىكىدىن چىقىپ كىتەلمەيدۇ. چۈنكى ئېنىرگىيەنىڭ ساقلىنىش قانۇنىغا ئاساسەن قانچىلىك ئېگىزلىكتىن چۈشكەن بولسا ئەڭ كۆپ بولغاندا شۇنچىلىك ئېگىزلىككە چىقالايدۇ. كۇۋانتۇم دۇنياسىدا بولسا ئەگەر زەرىچە ئۆزئېنىرگىيەسىدىن يۇقىرى بىر توسۇققا دۇچ كەلسە زەرىچىنىڭ توسۇقتىن تېشىپ ئۆتۈپ كىتىش ھادىسسىمۇ يۈز بىرىدۇ. مۇنداق بىر تەجىربە ئىشلەيلى:
ئالدىمىزدا ئېگىز بىر تام بولسۇن، قولىمىزدىكى رىزىنكە توپنى تامنىڭ ئۇ قېتىغا ئاتماقچى بولايلى. ئەگەر يىتەرلىك كۈچ بىلەن توپنى ئاتالىساق توپ تامنىڭ ئۇ قېتىغا ئۆتۈپ كىتەلەيدۇ، ئەگەر يىتەرلىك كۈچىمىز بولمىسا ئاتقان توپىمىز تامغا تېگىپ قاڭقىپ بىزگە قايتىپ كىلىدۇ. ئەمدى ئەتىراپىمىز ئاتوم ئۆلچىمىدە كىچىكلەپ، قولىمىزدىكى توپ ئېلىكترون چوڭلىقىچىلىك ئۆزگەرسۇن. قولىمىزدىكى «توپ»نى ئالدىمىزغا قارىتىپ ئاتساق ئوخشاشلا ئېلىكتىروننىڭ قولىمىزغا يىتىپ كەلگەنلىكىنى، لىكىن شۇنىڭ بىلەن بىر ۋاقىتتا تامنىڭ قارشى تەرىپىدىكى دوستىمىزدىن ئېلىكتروننىڭ تامنى تېشىپ ئۇ تەرەپكە ئۆتكەنلىكىنى ئاڭلايمىز. دىمەك، ئېلىكترون، تامنى تېشىپ «تونېل» ھاسىل قىلىپ قارشى تەرەپكە ئۆتۈپ كەتكەن ئىدى. بۇ ھادىسىمۇ رىيال چۈشەنچىگە نىسبەتەن غەلىتە ھادىسە بولۇپ، بىرتال «توپ» نىڭ ھەم تامدىن قاڭقىپ قايتىپ، ھەم تامدىن ئۆتۈپ كىتىشى ئەقىلگە مۇۋاپىق ئەمەس ئىدى. لىكىن، كۇۋانت فىزىكىسىنىڭ ئېھتىمال دولقۇن پىرىنسىپى بۇ مەسىلىنى ماتىماتىكىلىق جەھەتتىن توغرا چۈشەندۈرۈپ بىرەلەيدۇ…
كۇۋانت فىزىكىسىنىڭ ئاساسلىق پىرىنسىپلىرى
يۇقىرىدا كۇۋانت فىزىكىسىدىكى بەزى رىياللىقتىن ھالقىغان غەلىتىلىكلەرنى سۆزلەپ ئۆتكەندە ھامان كۇۋانت فىزىكىسىنىڭ پىرىنسىپى ھەققىدە سۆز ئاچتۇق. ئۇنداقتا كۇۋانت فىزىكىسىنىڭ پىرىنسىپلىرى قايسىلار؟
كۇۋانت نەزەرىيسى تۆۋەندىكى بەش پىرىنسىپ ئۈستىگە قۇرۇلىدۇ:
1) ئېھتىمال دولقۇن: زەرىچىلەر بوشلۇقتا مۇقىم ئوربىتىلىق ھەرىكەت قىلماستىن، بوشلۇقتا خالىغان جايدا پەيدا بولۇپ تۇرىدۇ.
كىلاسسىك فىزىكىدا زەرىچىنىڭ بوشلۇقتىكى ئورۇنى ۋە ھەرىكەت ئەھۋالىنى ئېنىق بىلگىلى ھەم تەسۋېرىلىگىلى بولىدۇ. كۇۋانتۇم دۇنياسىدا بولسا زەرىچىلەر بوشلۇقنىڭ ھەرقانداق يېرىدە پەيدا بولۇش ئېھتىماللىقىغا ئېگە بولۇپ، زەرىچىنىڭ بوشلۇقنىڭ مەلۇم جايىدىكى ئورۇنى ۋە ئېنىرگىيەسى سىتاتىستىكىلىق ئوتتۇرىچە قىممەتكە تەڭ بولىدۇ. بۇ خۇددى بىر قارىساق بۇ يەردە بىر قارىساق ئۇ يەردە پەيدا بولۇپ كۆزىمىزنى غەلەت قىلغان سىھىرلىك شارچىقا ئوخشايدۇ، ئۇنىڭ ئورۇننى بەلگىلىمەكچى بولساق ئۇنى كۆپ قېتىم رەسىمگە تارتىپ ئەڭ كۆپ پەيدا بولغان دائىرىدىكى مەلۇم ئورۇننى ئۇنىڭ ئورۇنىنىڭ ئوتتۇرىچە قىممىتى دەپ ئالىمىز. ئېنىرگىيەسىمۇ كۆپ قېتىملىق «ئۆلچەنگەن» ئېنىرگىيەنىڭ ئوتتۇرىچە قىممىتىدۇر.
كۇۋانت فىزىكىسىدا ئېھتىماللىق زىچلىقى دولقۇن فونكىسسىيسى شەكىلدە ئىپادىلىنىدۇ.
2) شرۆدىڭگېر دولقۇن تەڭلىمىسى: زەرىچىلەرنىڭ ھەرىكەت قانۇنىيتى شرۆدىڭگېر دولقۇن تەڭلىمىسى ئارقىلىق تەسۋىرلىنىدۇ.
فىزىكىنىڭ ئورتاق لوگىكىسى شۇكى، ھەرقانداق بىرپەلسەپىيىۋى نەزەرىيەنىڭ بىر ماتېماتىكىلىق ئىپادىلىنىشى بولىدۇ. مەسىلەن، نىيوتۇن ئىككىنچى قانۇنى، ماسسا- ئېنىرگىيە قانۇنى، ماكسىۋېل قانۇنلىرى، جول قانۇنى،… قاتارلىقلارنىڭ ھەممىسى مەلۇم ماتېماتىكىلىق تەڭلىمە ياكى ئىپادە ئارقىلىق تەسۋېرلىنىدۇ. مۇنېداقچە قىلىپ .ېيتقاندا فىزىكا ماتىماتىلىكىق (يەنى لوگىكىلىق) تىل بىلەن تەسۋېرلىنىدىغان تەبىئەت پەلسەپىسى دىسەك بولىدۇ.
نىيوتۇن ھەرىكەت قانۇنلىرىغا خاس ماتىماتىكىلىق تەڭلىمىلەر بولغاندەك، كۇۋانت نەزەرىيەسى ئۈچۈنمۇ تەڭلىمىلەرلازىم بولىشى كىرەككى، بۇ ماتېماتىكىلىق تەڭلىمە بىلەن كۇۋانت دۇنياسىدىكى ھەرىكەت تەسۋىرلەنسۇن. شرۆدىڭگىر دولقۇن تەڭلىمىسى دەل كۇۋانت فىزىكىسىدىكى بىر ماتېماتىكىلىق تەسۋىردۇر. بىز يۇقىرىدا تىلغا ئالغان دولقۇن فونكىسسيسىنىڭ ۋاقىتقا ئەگىشىپ ئۆزگۈرىش قانۇنىيتى بۇ تەڭلىمە ئارقىلىق ئىبادىلىنىدۇ.
3)ماتېماتىكىلىق ئوپىراتۇر: زەرىچىلەرنىڭ ھەرىكىتىنى ئىپادىلەيدىغان فىزىكىلىق مىقتارلار مۇرەككەپ ھېلبىرت بوشلۇقىدىكى ماتېماتىكىلىق ئوپىراتۇرلار ئارقىلىق ئىپادىلىنىدۇ. ئوپىراتۇر دىگەن ئۇقۇم مەلۇم نەرسىگە تەسر قىلىپ ئۇنى ئۆزگەرتكۈچى دىگەن مەنىنى بىلدۈرىدۇ. كۇۋانت فىزىكىسىدا بارلىق فىزىكىلىق مىقتارلار( ئورۇن، ھەرىكەت مىقتار، ئېنىرگىيە)، ماتېماتىكىلىق ئوپىراتۇرلارغا تەڭداش بولۇپ، دولقۇن فونكىسسىيسىگە تەسىر قىلغاندا ئۆزىنىڭ ئالاھىدە قىممىتىگە ئۆزگىرىدۇ. بۇ ئپىراتۇرلار ئابىستىراكىت ھېلبىرت بوشلۇقىدا بىر دانە ۋېكتورغا تەڭداش بولىدۇ. (ۋېكتور دىگىنىمىز يۆلىنىشكە ئېگە بولغان مىقتار)
4) قاتلىنىش پرىنسىپى: كۇۋانتۇم تېخنىكىسىدىكى ئەڭ قوللىنىشچان پىرىنسىپ، يەنى زەرىچىنىڭ ئىككى ياكى ئۇنىڭدىن ئارتۇق كۇۋانت ھالەتلىرىنىڭ قاتلانمىسى يەنىلا شۇ زەرىچىنىڭ كۇۋانت ھالىتىدىن ئىبارەت. ماتېماتىكىدا ئىككى ئۆلچەملىك تەكشىلىكتىكى ئىككى ۋېكتورنىڭ يىغىندىسى يەنە شۇ تەكشىلىكتىكى ئۈچىنچى ۋېكتور بولغاندەك، كۇۋانت فىزىكىسىدا ھېلبىرت بوشلۇقىدىكى ئىككى دانە ۋېكتورنىڭ يىغىندىسى يەنە شۇ ھېلبىرت بوشلۇقىدىكى ئۈچىنچى ۋېكتورغا تەڭ بولىدۇ. بۇ بوشلۇقتىكى ۋېكتور زەرىچىنىڭ ھالىتى ۋە فىزىكىلىق مىقتارلىرىغا تەڭداش بولىدۇ شۇڭا زەرىچىلەرنىڭ كۆپ خىل ھالەتلىرىنىڭ يىغىندىسى يەنىلا شۇ زەرىچىنىڭ مەلۇم ھالىتىگە تەڭ بولىدۇ.
5) پۈتۈنلەي ئوخشاشلىق: ماكىرو دۇنيادا جىسىملار بىر-بىرىدىن، تەركىب، چوڭ-كىچىكلىك، ماسسا، زەرەت، رەڭ ۋە باشقا خۇسۇسىيەتلىرىگە قاراپ پەرىقلىق بولىدۇ. ئوپمۇئوخشاش ئىككى نەرسىنى تاپماق مۇمكىن ئەمەس. لىكىن زەرىچىلەر، مەسىلەن ، ئېلىكترونلارنىڭ ھەممىسى ماسسا، زەرەت، چوڭ كىچىكلىك جەھەتتىن ئوپمۇ-ئوخشاش دەپ پەرەز قىلىنىدۇ. ئالەمدە چەكسىز زەرىچىلەر بار، بۇ زەرىچىلەر چوڭ جەھەتتىن فېرمىيون ۋە بوزونلار دەپ ئىككى كاتاگورىيەگە بۆلۈنىدۇ. ئوخشاش تۈردىكى فېرمىيون ۋە بوزونلار پۈتۈنلەي ئوخشاش زەرىچىلەردۇر. مەسىلەن بارلىق ئېلىكترونلار پۈتۈنلەي ئوخشاشتۇر، ئورۇلىرىنى ئالماشتۇرسا فىزىكىلىق ھالەت ئۆزگەرمەيدۇ.
كۇۋانت فىزىكىسىنىڭ ھازىرقى زامان تېخنىكىسىدا قوللىنىشىدىكى بىر قانچە مىسال
كۇۋانتۇم نۇقتىسى
كۇۋانتۇم نۇقتىسى بولسا نانۇمېتىر ( 9- 10 مېتىر) چوڭلۇقىدىكى يېرىم ئۆتكۈزگۈچتىن ئىبارەت. ئالدى بىلەن يېرىم ئۆتكۈزگۈچ ھەققىدە قىسقىچە تونۇشۇپ ئۆتەيلى:
قاتتىق جىسىملارئېلىكتىرىك خۇسۇسىيتىگە ئاساسەن ئۆتكۈزگۈچ، يېرىم ئۆتكۈزگۈچ ۋە ئېزىلياتۇر دەپ ئۈچ تۈرگە بۆلىنىدۇ. جىسىملارنىڭ ئاتوملارنىڭ توپلىنىشىدىن ھاسىل بولىدىغانلىقىنى ئۆگەندۇق، ئاتوم ئەتىراپىدىكى ئېلىكترونلارئاتومغا باغلىنىپ ئايلىنىپ تۇرسىمۇ، ئەڭ سىرىتقى قەۋەتتىكى ئېلىكترونلارنىسبەتەن ئەركىن بولۇپ، جىسىمنىڭ تۈزىلىشىگە باغلىق بولغان پوتېنسىيال مەيدانىدا ھەرىكەت قىلىپ تۇرىدۇ، يەنى مۇقىم بىر ئاتومغا باغىنىپ تۇرماستىن، بىر ئاتومدىن بىر ئاتومغا كۆچۈپ تۇرىدۇ. بۇنداق ھالەت مىتاللاردا ئەڭ كۈچلۈك بولۇپ مىتالدىكى ئېلىكترونلار خۇددى ئېلىكترونلاردىن تۈزۈلگەن گازغا ئوخشاش مىتال ئىچىدە قالايمىقان ھەرىكەت قىلىپ تۇرىدۇ؛ ئېزىلياتۇرلاردا بولسا بىرقەدەر كۈچلۈك پوتېنسىيال بولغانلىقى ئۈچۈن ئالاھىدە بىرئەھۋال بولمىسا ئۆزئاتوملىرىغا باغلىنىپ مۇقىم تۇرىدۇ ۋە جىسىمنىڭ ھەممە يىرىدە چېپىپ يۈرەلمەيدۇ؛ يىرىم ئۆتكۈزگۈچلەر دەلمىتاللار بىلەن ئېزىلياتۇرلارنىڭ ئوتتۇرىسىدىكى جىسىملار بولۇپ، ئازىراق قوزغىتىشقا ئۇچىرىسا ئېلىكترونلار ئاسان قوزغىلىپ ئۆز بېغىدىن چىقىپ كىتىدۇ.
مۇشۇنداق بولغاچقا مىتاللار ناھايىتى ياخشى ئۆتكۈزگۈچ ھىساپلىنىدۇ، سىرىتقى پوتىنسىيال مەيدانىغا قويۇلسا ئەركىن ھەرىكەت قىلىۋاتقان ئېلىكترونلار توپى مەلۇم يۆلىنىشتە ھەرىكەت قىلىشقا باشلايدۇ ۋە توك ئېقىمىنى شەكىللەندۈرىدۇ؛ ئېزىلياتۇرلارغا سىرىتقى پوتېنسىيال بېرىلسىمۇ ئۇلاردىكى ئېلىكترونلارنى تۇتۇپ تۇرىسىغان باغ بىر قەدەر كۈچكۈك بولغانلىقتىن ئەركىن، ئاقما ئېلىكترونلار توپى بولمايدۇ شۇڭا توك ئۆتمەيدۇ؛ يىرىم ئۆتكۈزگۈچلەرگە سىرىتقى پوتېنسىيال بېرىلسە ئېلىكترونلار ئاجىراپ چىقىپ بىر يۆلىنىشكە ھەرىكەت قىلىپ بىر يانغا توپلىنىدۇ، بۇنىڭ نەتىجىسىدە ئېلىكترونلارنىڭ ئاتوم قاپلىرىدىكى ئورۇنلىرى بوش قېلىپ قىسمەن مۇسپەت زەرىتى بولغان ئاتوم قاپلىرى بىر يانغا توپلىنىدۇ-دە، جىسىمنىڭ ئىچكى قىسمىدا مەنپى مۇسپەت زەرەت رايۇنى بۆلۈنۈش شەكىللىنىدۇ…
بوش قالغان ئورۇنلار «تۆشۈك» دەپ ئاتىلىدۇ. تۆشۈكلەر مەنپى ماسسا، مۇسپەت زەرەتلىك زەرىچە دەپ قارىلىدۇ ھەمدە ئېلىكترونلاربىلەن باغلىنىپ ئېلىكترون-تۆشۈك جۈپتىنى شەكىللەندۈرىدۇ. ئېلىكترون- تۆشۈك جۈپتى بولسا ئېكىسايتون يەنى قوزغالغۇچى زەرىچىلەر دەپ ئاتىلىدۇ. يىرىم ئۆتكۈزگۈچلەردە مۇشۇ قوزغالغۇچى زەرىچىلەر ناھايىتى مۇھىم بولۇپ، يىرىم ئۆتكۈزگۈچلەرنىڭ ئېلىكترىك خۇسۇسىيەتلىرى ئۇلارنىڭ ھەرىكەتلىرى تەرىپىدىن بەلگىلىنىدۇ.
يىرىم ئۆتكۈزگۈچ تېخنىكىسىنىڭ تەرەققىياتى توپلاشتۇرۇلغان توك يولى ۋە ھازىرقى كومپىيۇتېر چوڭ مېڭىسى (مەركىزى بىر تەرەپ قىلغۇچى) نىڭ تەرەققىياتى بىلەن زىچ باغلىنىشلىق (« قۇم دانچىللىرىدىنCPU قانداق پۈتۈپ چىىقىدۇ؟» دىگەن يازمىغا قارالسۇن).
ئەمدى «كۇۋانت نوختىسى» غا قايتساق بۇ كۇۋانت نوختىسى ناھايىتى كىچىك بولغان يىرىم ئۆتكۈزگۈچتىن ئىبارەت بولۇپ نۇرغۇن تېخنىكىلىق قوللىنىشلىرى ھەققىدە تەتقىقات مۇسابىقىللىرى داۋام قىلماقتا. ئەمسە نىمە ئۈچۈن كۇۋانت نوختا دىدۇق؟ بىزنىڭ سۆزلەۋاتقان كۇۋانت نەزەرىيسى بىلەن نىمە مۇناسىۋېتى بار؟
مۇنداق چۈشەندۈرسەك بولىدۇ: بىر تال كىلاسسىك زەرىچە بەلگىلىك چوڭلۇقتىكى بوشلۇقتا، مەسىلەن، بىر ئۆيدەك چوڭلۇقتىكى بوشلۇقتا ئەركىن ھەرىكەت قىلىدۇ، ھەمدە بەلگىلىك ھەرىكەت ئېنىرگىيەسىگە ئېگە بولىدۇ. ئەگەر ھەرىكەت بوشلۇقىنى كىچىكلىتىپ، كىچىكلىتىپ نانومېتىرۋە ئۇنىڭدىن كىچىك ھالەتكە كەلتۈرسەك، زەرىچىلەر ئۇنداق ئەركىن ھەرىكەت قىلالمايدۇ ۋە ئېنىرگىيەسى كۇۋانتلاشقان بولىدۇ. بۇنى بىز قۇتىدىكى زەرىچە ياكى كۇۋانت نەزەربەنتى دەپ ئاتايمىز. دىمەك نانومېتىر چوڭلۇقتىكى يىرىم ئۆتكۈزگۈچنىڭ قوزغالغۇچى زەرىچىللىرى ئېلىكترون- تۆشۈك جۈپتى كۇۋانت پىرىنسىپلىرىغا بويسۇنغان ھالدا ھەرىكەت قىلىشقا باشلايدۇ. شۇڭا ناھايىتى كىچىك بۇ يىرىم ئۆتكۈزگۈچنى «كۇۋانت نوختىسى» دەپ ئاتايمىز. كۇۋانت نوختىسىنىڭ مۇھىم ئالاھىدىلىكى شۇكى، نوختىنىڭ چوڭ-كىچىكلىكى يىرىم ئۆتكۈزگۈچنىڭ ئۆتكۈزۈشچانلىقىغا بىۋاستە مۇناسىۋەتلىك…
كۇۋانت نوختىسى ھاىزرقى زامان تېخنىكىسىدىكى قىززىق نوختىلاربولغان قوياش ئېنىرگىيە تاختىسى، LED(نۇرلانغۇچى كىرىستال لامپىلار) ھەتتاكۇۋانت كومپىيۇتېرى ساھەسىدە قوللىنىشلارغا ئىگە. شۇڭا ھازىرقى زاماندا كۇۋانت نوختىسى ھەققىدىكى تەتقىقاتنىڭ ئىستىقبالى پارلاق!
كۇۋانتۇم كومپىيۇتېرى
تېخنىكا تەرەققىياتىغا ئەگىشىپ كومپىيۇتېر ئەڭ دەسلەپكى ئۆيدەك چوڭلۇقتىكى ھالەتتىن تەرەققى قىلىپ ھازىرقى ئالقاندەك چوڭلۇقتىكى ھالەتكە كەلدى، يىلدىن- يىلغا ھىسابلاش سۈرئىتى ۋە ئىختىدارى ئېشىپ كەلدى… لىكىن بۇ كومپىيۇتېرلاريەنىلاچەكلىك سۈرئەت ۋە سىغىمچانلىققا ئىگە. ھازىر بىز قوللىنىۋاتقان كومپىيۇتېرلار مىلىيونلارچە يىرىم ئۆتكۈزگۈچ كىرىستال لامپىلارۋە كوندېنساتۇر(زەرەت يىغقۇچ) لاردىن تەركىپ تاپقان، زىچ ۋە مۇرەككەپ لوگىكىلىق توك يوللىرى (خۇددى چوڭ شەھەرلەردىكى قات-قات كۆۋرۈكلۈك ئۆتۈشمە يوللاردەك)دىكى ئېلىكترونلارنىڭ ھەرىكىتى بىلەن، 0 ۋە 1 دىن ئىبارەت ئىككىلىك سىستىما ئارقىلىق يېزىلغان پروگرامما بويىنچە ئىشلەيدۇ.
غايىمىز بويىنچە بولغاندا كومپىيۇتېرىمىزغا قانچە ئاز توك كەتسە، قانچە تىز بولسا، سىغىمى قانچە چوڭ بولسا، كومپىيۇتېرھەجىمى قانچە كىچىك بولسا،… شۇنچە ياخشى بولغان بولغان بولاتتى. تېرىشچانلىقلىرىمىز بىلەن ھازىرقىدەك كىچىكرەك ۋە تىزىرەك كومپىيۇتېرلارغا ئېرىشىۋاتقان بولساقمۇ بۇ يەنىلا كۆپ يىتەرسىز. گەرچە بىر شەخسنىڭ كۈندىلىك تۇرمۇشىغا يېتىپ ئاشسىمۇ، بەزى مۇھىم جايلارغا، جۈملىدىن پەن- تەتقىقات ئورۇنلىرىغا، دۆلەتلەرنىڭ مۇداپىيە ۋە ھەربى ئىشلىرىغا، پۇل-مۇئامىلە تارماقلىرىغا زىيادە تىز ھىساپلايدىغان كومپىيۇتېرلارلازىم بولىدۇ.
كۇۋانت نەزەرىيسىنىڭ ئەمەلىي تېخنىكىدا قوللىنىش يۈزلىنىشىگە ئەگىشىپ، ئالدىنقى ئەسىرنىڭ 80- يىللىرىدا كۇۋانت كومپىيۇتېرى دىگەن ئۇقۇم مەيدانغا كەلدى.
كۇۋانت كومپىيۇتېرى كۇۋانت فىزىكىسىنىڭ پىرىنسىپلىرىن ئاساس قىلىپ ئىشلەيدىغان كومپىيۇتېرنى كۆرسىتىدۇ. كىلاسسىك كومپىيۇتېردا مىكرو توك يوللىرىدىكى ھەرقانداق بىر نوختىدا 0 (ئۆچۈك ياكى خاتا) ۋە 1( ئوچۇق ياكى توغرا) دىن ئىبارەت پەرىقلىق ئىككى خىل ھالەتلا مەۋجۇت بولۇپ تۇرىدۇ. بۇ ئىككى خىل ھالەت «بىت» دەپ ئاتىلىدۇ، لىكىن ھالەتلەرنىڭ ئۆزگۈرىشى ئۈچۈن يەنىلا بەلگىلىك ۋاقىت كىتىدۇ. (كۆپ خىل پروگراممىلارنى بىر ۋاقىتتا ئىجرا قىلسىڭىز بەزىدە كومپىيۇتېرنىڭ قېتىۋېلىشى مۇشۇ سەۋەپتىندۇر)؛ كۇۋانت كومپىيۇتېرىدا بولسا ئېلىكترون، فوتون ۋە ياكى باشقا زەرىچىلەرنىڭ زەرىتى، قۇتۇپلىنىشى ۋە ياكى سىپىنى( ئۆزئوقىدا ئايلىنىشى) نى لوگىكىلىق ھالەت قىلىپ قوللىنىدۇ، ئۇنىڭدا 0 ۋە \ ياكى 1 دىن ئىبارەت ئىككى خىل ھالەتتىن باشقا بۇ ئىككى ھالەتنىڭ قاتلىنىشى بولغان ئۈچىنچى ھالەتمۇ مەۋجۇت بولىدۇ. بىرىنچىدىن، كۇۋانت كومپىيۇتېرى قوللانغان لوگىكىلىق ھالەتلەر كۇۋانتلاشقان ھالەتلەر، ئىككىنچىدىن، بۇ ھالەتلەر بىر-بىرىنى چەتكە قاقىدىغان ھالەتلەر بولماستىن ئۆز-ئارا قاتلىنىدىغان ھالەتلەردۇر. بۇ ھالەتلەر كۇانتۇم بىت ياكى قىسقارتىلىپ كىيۇبىت دىيىلىدۇ.
كىلاسسىك كومپىيۇتېردىكى ئىككىلىك سېستىمىدا 0 ۋە 1 نىڭ پەقەت 00، 01، 10، 11 دىن ئىبارەت تۆت خىل ئورۇنلاشتۇرۇلۇشى بولۇپ، بىزنىڭ ھازىرقى كومپىيۇتېرىمىزنىڭ مېڭىسى بىر ۋاقىتتا مۇشۇ تۆت خىل ئورۇنلاشتۇرۇشنىڭ پەقەت بىرىنىلا ساقلىيالايدۇ؛ كۇۋانت كومپىيۇتېرىدا بولسا بىرلا ۋاقىتتا تۆت خىل ئورۇنلاشنۇرۇشنىڭ ھەممىنى ساقلىيالايدۇ. ئەگەر يەنىمۇ كۆپىرەك كىيۇبىت لار قوشۇلسا كومپىيۇتېرنىڭ ھېساپلاش سۈرىتى تىك سىزىق بويىنچە ئۆرلەپ ماڭىدۇ. دىمەك كۇۋانت كومپىيۇتېرلىرى ئەگەر كەلگۈسىدە ياسىلىپ قالسا ھەجىمىنىڭ كىچىكلىتىلگەنلىكىگە باقماي ھېساپلاش سۈرىتىنىڭمۇ دەرىجىدىن تاشقىرى يۇقىرلاپ كەتكەنلىكىنى كۆرىمىز!
كۇۋانت ئوپتىكىسى ۋە مېخانىكىسى
ئوپتىكا يورۇقلۇق ھادىسلىرىنى تەتقىق قىلسا، كۇۋانت ئوپتىكىسى يورۇقلۇقنىڭ زەرىچىسى بولغان فوتونلار(«نۇردىگەن نىمە؟» گە قارالسۇن) ۋە ئۇلارنىڭ ماددىلار بىلەن بولغان تەسىرىنى تەتقىق قىلىدۇ. فوتون كۇۋانتلاشقان ئېلىكتىر- ماگنىت مەيدانىدىكى قۇزغىتىلغان ھالەتتە تەۋرىنىۋاتقان بىرزەرىچە. فوتون سىپىنى(ئۆزئوقىدا ئايلىنىشى) بىر بولغان بوزونىك زەرىچە بولغانلىقى ئۈچۈن، ئوخشاش ھالەتتىكى نۇرغۇن فوتونلارنى بىر يەرگە توپلىغىلى بولىدۇ. ئوخشاش چاستوتىدا بىرلىكتە تەۋرىنىۋاتقان بۇ توپلانما فوتونلارلازىر نۇرىدىن ئىبارەت. نۇرغۇنلىغان ئوخشاش فوتونلار ئوخشاش قەدەمدە تەۋىرنىپ تارقالغانلىقى ئۈچۈن بىر دەستە لازىر نۇرى دەستىسى شەكىللىنىدۇ. يىغىلغان فوتونلار بولغاچقا لازىرنۇرى ناھايىتى كۈچلۈك بولۇپ ھەتتا نەرسىلەرنى كىسىپ ئۆتەلەيدۇ(بەزى كىنولاردا لازىر نۇر دەستىلىك قېلىچلارنى كۆرگەن بولىشىڭلار مۇمكىن)، لازىر نۇرىنىڭ تارقىلىشى تۈز ۋە ئۇزۇن بولىدۇ.
شۇنداق ئالاھىدىلىكلەرگە ئىگە بولغاچقا لازىر نۇرىنىڭ قوللىنىشلىرى ناھايىتى كەڭ ۋە ئۈنۈملۈك. مەيلى تېخنىكا-تەتقىقاتى، مەيلى تىبابەت، مەيلى ھەربى ئىشلاردا بولسۇن لازىر نۇرى كەم بولسا بولمايدۇ.
يىقىنقى يىللاردىن بۇيان لازىر ۋە باشقا ماددىلارنىڭ ئۆز-ئارا تەسىرىگە بولغان تەتقىقاتلارنىڭ كېڭىيىشىگە ئەگىشىپ يېڭى-يىڭى تېخنىكا يېڭىلىقلىرى ۋە تەتقىقات تېمىللىرى مەيدانغا كىلىشكە باشلىدى. بۇلاردىن ۋەكىللىك بىر قانچىسىنى ئېيتساق، لازىر نۇرىدىن پايدىلىنىپ، مىكىرو ئەينەكلەر ئارىللىرىدا ياكى بوشلۇقلىرىدا ئاتوملارنى قىسىپ توڭلىتىپ، تۆۋەن تېمپىراتۇرىغا ئېرىشىدۇ. بۇ «ئاتوملارنى مۇزلىتىش» دەپ ئاتىلىدۇ.
ئاتوملارنى مۇزلىتىش تەجىربىللىرىنىڭ ئېلىھامىدا كىشىلەر ئاتوملارنىڭ ئورۇنىغا نانۇمېتىر قېلىنلىقتىكى نىپىز ئەينەكلەرنى قويۇپ، لازىر نۇرىنىڭ مىخانىكىلىق ئېففىكتىنى تەتقىق قىلىشقا كىرىشتى ھەمدە يېڭى بىر ساھە- كۇۋانتۇم ئوپتو- مېخانىكى دىگەن يېڭى بىر ساھە مەيدانغا كەلدى.
لازىر نۇرىنىڭ مېخانىكىلىق ئېففىكتىنى تەتقىق قىلىش يېڭى تىپتىكى نازۇك سەزگۈچلەرنىڭ ياسىلىشى ئۈچۈن مۇھىم پىرىنسىپ بىلەن تەمىنلەيتتى. نۇرنىڭ زەرىچىلىك خۇسۇسىيتى بولغاچقا چۈشكەن جىسىمغا بېسىم كۈچى چۈشىرىدۇ، بۇ بېسىمنىڭ تەسىرىدە لازىر نۇرى چۈشۈرۈلگەن ئەينەك ھەرىكەت قىلىشقا باشلايدۇ…
كىيىنچە بىر ئەينەك ماڭىدىغان سېستىمىدىن ئىككى مۇقىم ئەينەك ئوتتۇرىسىدا قىستالغان نۇر بىلەن تەسىرلىشىدىغان يىرىم نۇرئۆتكۈزگۈچ نىپىز پەردىلەر قويۇلدى. خۇددى ئىككى ئەينەك ئوتتۇرىسىدا ئاتوملارنى مۇزلاتقاندەك بۇ پەردىنى مۇزلىتىپ كۇۋانت مىخانىكىلىق ئەڭ تۆۋەن ئېنىرگىيە ھالىتىگە ئەكەلمەكچى بولدى. لىكىن قىزىقارلىق نەتىجە، لازىر نۇرى بىلەن تەسىرلىشىپ تىتىرەشمە ھالىتىدە تەڭپۇڭلۇق ھالىتىگە كەلگەن بۇ نېپىز پەردىنىڭ مىخانىكىلىق تىتىرەشمە ھالىتىمۇ كۇۋانتلىشىدىغانلىقى دىققەتنى قوزغىدى! بۇ كۇۋانت ئېففىكتىنىڭ نانومېتىر ياكى ئۇنىڭدىن چوڭ ئۆلچەمدە يۈز بىرىش رىياللىقىنى كۆرسىتىۋاتاتتى. بۇنىڭدىن ئىلگىرى كۇۋانت فىزىكىسى ئاتوم ئۆلچىمىگە بارغاندا پەيدا بولاتتى، ئەمدى بىر قەدەر چوڭ ئاتالمىش ماكرو ساھەدىكى كۇۋانت ئېففىكتى كىشىلەرنىڭ قىزىقىشىنى ئالاھىدە قوزغىدى!
ئاخىرقى سۆز
كۇۋانتنىڭ غەيرىيلىكى ۋە بور ئېنىشتىيىن مۇنازىرىسى
كۇۋانت فىزىكىسى ئېھتىماللىق نەزەرىيسى ئۈستىگە قۇرۇلغان نەزەرىيە سىستىمىسى بولغاچقا رىياللىققا سىغمىغان بەزى پىرىنسىپلاركىشىلەرنىڭ چۈشىنىشىدىن يەنىلا يىراق. مەسىلەن، شرۆدىڭگىر مۆشىكى، زەرەت ۋە دولقۇق ئىككى ياقلىمىلىقى، تونېل ھادىسسى يەنىلا سىرلىق ھالەتتە!
ئەنئەنىۋى فىزىكىدا زەرىچىنىڭ ھەرقانداق ۋاقىتتا بوشلۇقتىكى كوردىناتىنى، يەنى ئورۇنىنى بەلگىلىگىلى بولۇپلا قالماي ئوخشاش ۋاقىتتا شۇ ئورۇندىكى ھەرىكەت ئەھۋالى، يەنى ھەرىكەت مىقتارىنى بەلگىلىگىلى بولىدۇ(ئۆلچىگىلى بولىدۇ)؛ كۇۋانت فىزىكىسىدا بولسا بۇ بىر جۈپ مىقتارنى ئوخشاش ۋاقىتتا ئۆلچىگىلى بولمايدۇ! بۇنى بىز ئېنىقسىزلىق پىرىنسىپى دەپ ئاتايمىز. كۇۋانت دۇنياسىدا زەرىچىلەر دولقۇنلۇق ھەم زەرىچىلىكتىن ئىبارەت ئىككى ياقلىمىلىق خۇسۇسىيەت رۇشەن ئىپادىلەنگەنلىكتىن زەرىچىنىڭ مۇقىم ھەرىكەت مىقتارى مەلۇم ئۇزۇنلۇقتىكى دولقۇن سومكىسىغا باراۋەر كىلىدۇ،-دە بۇ ئۇزۇنلۇقتا ئۇرۇن ئېنىقسىز بولۇپ قالىدۇ، ماكىرو دۇنيادا بولسا بۇنداق ئېنىقسىزلىق بولمايدۇ…
كۇۋانت فىزىكىسى فىزىكىلىق مىقتارلارنى دەل-مۇدەل ئېنىق تەسۋېرلىمەستىن، نائېنىق ۋە ئېھتىماللىق نەزەرىيەسى بويىنچە تەسۋېرلىگەنلىكتىن ئەينى ۋاقىتا ئېنىشتىيىن بۇ(ئېھتىماللىق )نەزەرىيەسىگە ئانچە ئىشەنگۈسى كەلمىگەن. ھەتتا ئۆمۈرىنىڭ ئاخىرىغىچە كۇۋانت پىرىنسىپىلىرىغا قايىل بولماي ئۆتۈپ كەتكەن. ئۇنىڭ قارىشىچە زەرىچىلەر ئېنىق بىر ئوربىتىدا ھەركەت قىلغان بولىشى، فىزىكىلىق مىقتارلارنىڭ ئېھتىمال ئەمەس ئېنىق بىرقىممىتى بولىشى كىرەك ئىدى. ئۇ بۇ ھەقتە بور بىلەن قاتتىق مۇنازىرلەشكەن. ئۇ كۇۋانتنىڭ ئېھتىمال پىرىنسىپىغا قايىل بولماي: «خۇدا ھەرگىز شىشغال تاشلىمايدۇ…» دىگەن ئىكەن… قانداقلا بولمىسۇن، زەرىچىلەرنىڭ(ھېلى بۇ يەردە، ھېلى ئۇ يەردە پەيدا بولىدىغان) تاسادىبى ھەرىكەت ھالەتلىرى ۋە ئۈزۈك ئېنىرگىيە دەرىجىللىرى كۇۋانت دۇنياسىدىكى بىر پاكىتتۇر!
نىمە ئۈچۈن كۇۋانت ھادىسسى يۈز بىرىدۇ؟ كىشىلەر زەرىچىلەرنىڭ بىرلا ۋاقىتتىكى كۆپ خىل ھالەتلىرىنى چۈشەندۈرۈش ئۈچۈن ئاتالمىش «پاراللىل ئالەم» تەسەۋۋۇرىنى ئوتتۇرىغا قويۇشتى. بۇ تەسسەۋۇردا، بىر-بىرى بىلەن مەلۇم باغلىنىشى بولغان ئوخشاش ئالەملەر بولۇپ، مەلۇم زەرىچىنىڭ نەچچە خىل ھالىتى ئوخشىمىغان ئالەمدىكى بىر خىل ھالەتتىن ئىبارەت. مۇنداقچە قىلىپ ئېيىتقاندا، شىرۆدىڭگىر مۆشۈكىنىڭ تىرىك ھالىتى بىر ئالەمدە بولسا ئۆلۈك ھالىتى بۇ ئالەم بىلەن باغلىنىشى بولغان ئوخشاش يەنە بىر ئالەمدە. ئۇلارنىڭ قارىشىچە، بۇ ئالەم چوڭ پارتىلاشتىن كىيىن كىڭىيىۋاتقاندەك، باشقا ئالەملەرمۇ ئۆزلىرىنىڭ چوڭ پارتىلاشلىرىدىن كىيىن كېڭىيىۋېتىپتۇمىش!
ئەمما بۇلارنىڭ ھەممىسى خىيال ۋە تەسسەۋۇر بولۇپ رىيال پاكىت ئەمەس! ھەقىقى ماھىيەت بولسا تېخى ئايدىڭ ئەمەس…كۇۋانت ھادىسسىگە نىسبەتەن پۈتۈنلۈككە ئىگە ھالدا بىر-بىرىنى تولۇقلىغان توغرا نەزەرىيە بىزگە ياكى كەلگۈسى ئەۋلاتلارغا قالدۇرۇلدى….
(بۇ ماقالىنىڭ ئاپتورى بىلىك)